(Vibizmedia – Nasional) Berikut adalah angka akumulatif perkembangan data kasus Covid-19 dari seluruh Indonesia hingga tanggal 5 Februari 2021.
Kasus Positif Meningkat
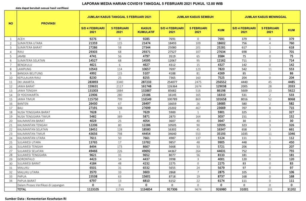
Total kasus positif kemarin dilaporkan sejumlah 1.123.105 kasus. Hari ini kasus positif terinfeksi COVID-19 dilaporkan bertambah sebanyak 11.749 kasus. Sehingga total akumulatif menjadi sejumlah 1.134.854 kasus positif. Dengan demikian telah terjadi kenaikan dalam pertambahan kasus dari sejumlah 11.434 kasus kemarin menjadi 11.749 kasus.
Angka pertambahan kasus positif tertinggi adalah DKI Jakarta (3.340), Jawa Barat (2.117), Jawa Tengah (1.884), Jawa Timur (799) dan Kalimantan Timur (798). DKI Jakarta selama 3 hari berturut-turut menempati posisi tertinggi, meski kasusnya sudah menurun dibandingkan kemarin sejumlah 3.632 kasus.
Berikut rincian kasus positif per provinsi per tanggal 5 Februari 2021:
– Jakarta 3.340
– Jabar 2.117
– Jateng 1.884
– Jatim 799
– Kaltim 798
– Bali 508
– NTT 389
– DIY 280
– Sulsel 226
– Sulteng 173
– Kalsel 128
– Sumut 115
– Babel 115
– Lampung 114
– Kalteng 80
– Riau 68
– Sumsel 68
– Banten 67
– Papua 63
– Sumbar 58
– Jambi 56
– Kaltara 50
– Sulbar 48
– Malut 33
– Sultra 31
– Maluku 31
– Kepri 25
– Kalbar 25
– Sulut 17
– Gorontalo 14
– Papbar 13
– Aceh 9
– Bengkulu 6
– NTB 1
Terdaftar provinsi yang tingkat penambahannya di bawah 10 kasus positif ada 3 provinsi: Aceh, Bengkulu, Nusa Tenggara Barat
Daftar provinsi yang tercatat tidak ada penambahan pasien terkonfirmasi positif Covid-19 : TIDAK ADA
Kasus Sembuh dan Persentase Kesembuhan Tinggi
Jumlah kasus sembuh kemarin adalah 917.306 orang dan hari ini dilaporkan bertambah 9.674 orang, sehingga total yang dinyatakan sembuh menjadi sejumlah 926.980 Jika kemarin dilaporkan bertambah 11.641 orang, maka hari ini pertambahannya meningkat menjadi 9.674 kasus sembuh.
Namun persentase jumlah kasus sembuh cukup tinggi yaitu sejumlah 81,68% jika dibandingkan kasus positif sejumlah 1.134.854 . Kita terus harapkan tingkat kesembuhan terus meningkat.
Angka kesembuhan tertinggi adalah Jawa Barat (2.674), DKI Jakarta (2.475), Jawa Timur (869), Kalimantan Timur (553), Jawa Tengah (516).
Kasus Meninggal Menurun
Untuk kasus meninggal, jika kemarin diberitakan ada sejumlah 31.001 orang, maka hari ini bertambah sebanyak 201 orang, sehingga total kasus meninggal menjadi 31.202 orang. Dengan demikian telah terjadi penurunan, jika kemarin tercatat 231 orang kasus meninggal maka hari ini tercatat 201 orang.
Kasus Aktif Meningkat
Pada tanggal 5 Februari 2021 kasus aktif menjadi sejumlah 176.672 (bertambah 1.874) dibandingkan kemarin sejumlah 174.798 (berkurang 438). Sedangkan jumlah kasus suspek sejumlah 77.704 adalah kenaikan dibanding kemarin sejumlah 74.260. Selain itu ada 76.373 spesimen, yang adalah kenaikan karena kemarin sejumlah 68.744 spesimen.
Akumulasi data tersebut diambil dari hasil uji spesimen sebanyak 9.578.686 spesimen yang dilakukan menggunakan metode Polymerase Chain Reaction (PCR) dan TCM (Test Cepat Molekuler) dari sejumlah 6.366.581 orang yang ditest.
Positivity Rate Menurun
Positive rate adalah jumlah hasil pemeriksaan yang dinyatakan positif dibagi keseluruhan jumlah total pemeriksaan. Secara harian maka ada penambahan orang yang ditest sejumlah 44.231 dengan 26,56% positive rate jika dibandingkan kemarin sejumlah 42.168 dengan 27,12% positive rate.
Rata-rata Harian dalam 7 Hari Terakhir
Sementara itu rata-rata harian dalam 7 hari terakhir adalah sebagai berikut: Jumlah spesimen 64.959 dibanding kemarin sejumlah 65.091. Sedangkan jumlah orang yang diperiksa 40.274 dibanding kemarin sejumlah 41.444 . Sedangkan kasus positif sejumlah 11.866 (tingkat positivitas 29,46%) dibanding kemarin 12.159 (tingkat positivitas 29,34%). Positive rate keseluruhan 17,83% (1.134.854 kasus / 6.366.581 yang diperiksa) dibandingkan kemarin 17,76% (1.123.150 kasus / 6.322.350 orang yang diperiksa).
Progress Harian Vaksinasi COVID-19
Berdasarkan laporan Kemenkes maka total sasaran vaksinasi secara keseluruhan adalah sejumlah 181.554.465.
Sedangkan jumlah sararan vaksinasi COVID-19 untuk Tenaga Kesehatan : 1.566.958 (berkurang 1) dibandingkan kemarin sejumlah 1.566.959 (bertambah 32.022).
Hingga hari ini vaksin pertama telah dilaksanakan sejumlah 744.844 (bertambah 44.618) dibandingkan kemarin sejumlah 700.266 ( bertambah 54.240).
Sedangkan vaksin kedua telah dilaksanakan sejumlah 120.725 (bertambah 24.172) dibandingkan kemarin sejumlah 96.553(bertambah 24.932).
Data tersebut diambil dari 34 provinsi. Hingga saat ini seluruh provinsi sudah terdampak Covid-19.
Berikut adalah data COVID-19 di seluruh provinsi pada tanggal 5 Februari 2021:










