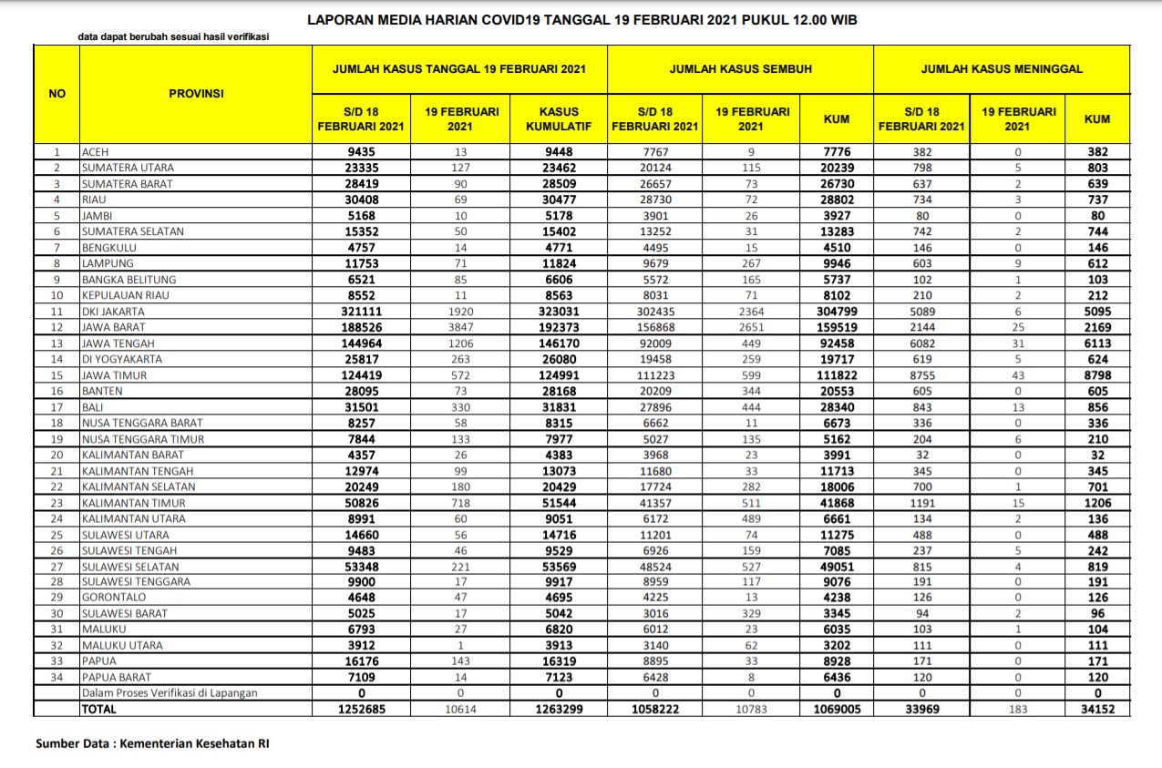
(Vibizmedia – Nasional) Berikut adalah angka akumulatif perkembangan data kasus Covid-19 dari seluruh Indonesia hingga tanggal 20 Februari 2021.
Penambahan Kasus Positif Menurun
Total kasus positif dilaporkan kemarin sejumlah 1.263.299 kasus. Hari ini kasus positif terinfeksi COVID-19 dilaporkan bertambah sebanyak 8.054 kasus. Sehingga total akumulatif menjadi sejumlah 1.271.353 kasus positif. Dengan demikian telah terjadi penurunan kasus dari sejumlah 10.614 kasus kemarin menjadi 8.054 kasus. Suatu kabar yang menggembirakan.
Angka pertambahan kasus positif tertinggi adalah DKI Jakarta ( 2.872), Jawa Barat (975), Jawa Tengah (805), Jawa Timur (601), Kalimantan Timur ( 552), Bali ( 202).
Ada kenaikan kasus di DIKI Jakarta dibandingkan kemarin sebesar 1.920. Jawa Barat sudah ada penurunan yang cukup besar dibandingkan kemarin sejumlah 3.847. Diikuti Jawa Tengah dan Jawa Timur.
Berikut rincian kasus positif per provinsi per tanggal 20 Februari 2021:
– Jakarta 2.872
– Jabar 975
– Jateng 805
– Jatim 601
– Kaltim 552
– Bali 202
– Sulsel 202
– DIY 201
– Kalsel 183
– NTT 176
– Riau 133
– Babel 132
– Papua 108
– Sumut 99
– Lampung 98
– Kalteng 95
– Sumsel 88
– Sumbar 81
– Banten 73
– Sulut 56
– Sulteng 45
– NTB 39
– Kalbar 35
– Sulbar 29
– Papbar 28
– Jambi 20
– Kaltara 20
– Bengkulu 19
– Malut 19
– Kepri 17
– Sultra 15
– Maluku 12
– Aceh 8
– Gorontalo 6
Terdaftar provinsi yang tingkat penambahannya di bawah 10 kasus positif ada 1 provinsi : Aceh, Gorontalo
Daftar provinsi yang tercatat tidak ada penambahan pasien terkonfirmasi positif Covid-19: TIDAK ADA
Kasus Sembuh dan Persentase Sembuh Meningkat
Jumlah kasus sembuh kemarin adalah 1.069.005 orang dan hari ini dilaporkan bertambah 9.835 orang, sehingga total yang dinyatakan sembuh menjadi sejumlah 1.078.840. Jika kemarin dilaporkan bertambah 10.783 orang, maka hari ini menjadi 9.835 kasus sembuh. Selama tiga hari berturut-turut jumlah penambahan kasus sembuh melampaui kasus positif.
Selain itu, persentase jumlah kasus sembuh cukup tinggi yaitu sejumlah 84,86% meningkat dibandingkan kemarin sebesar 84,62%. Hal ini didapat jika dibandingkan total kasus positif sejumlah 1.271.353.
Angka kesembuhan tertinggi adalah DKI Jakarta (2.886), Jawa Barat (1.528), Kalimantan Timur (811), Jawa Timur (589), Bali (469), Jawa Tengah (456), Sulawesi Tengah (432), Sulawesi Selatan (396), Banten (324).
Kasus Meninggal Menurun
Untuk kasus meninggal, jika kemarin diberitakan ada sejumlah 34.152 orang, maka hari ini bertambah sebanyak 164 orang, sehingga total kasus meninggal menjadi 34.316 orang. Dengan demikian telah terjadi penurunan, jika kemarin tercatat 183 orang kasus meninggal maka hari ini tercatat 164 orang.
Tiga Hari Berturut-turut Kasus Aktif Menurun
Hari ini pada tanggal 20 Februari 2021 kasus aktif menjadi sejumlah 158.197 (turun sebesar 1.945).
Kemarin kasus aktif sejumlah 160.142 (turun sebesar 352) dan 2 hari sebelumnya sejumlah 160.494 (turun sebesar 1.688). Dengan demikian sudah tiga hari berturut-turut kasus aktif menurun.
Sedangkan jumlah kasus suspek sejumlah 79.395, dibandingkan kemarin sejumlah 80.504 suspek. Selain itu ada 69.497 spesimen dibandingkan kemarin sejumlah 88.821 spesimen .
Akumulasi data tersebut diambil dari hasil uji spesimen sebanyak 10.347.047 spesimen yang dilakukan menggunakan metode Polymerase Chain Reaction (PCR) dan TCM (Test Cepat Molekuler) dari sejumlah 6.871.200 orang yang ditest.
Progress Harian Vaksinasi COVID-19
Berdasarkan laporan Kemenkes pada tanggal 20 Februari 2021 maka total sasaran vaksinasi secara keseluruhan adalah sejumlah 181.554.465.
Sedangkan jumlah sasaran vaksinasi COVID-19 untuk Tenaga Kesehatan sejumlah 1.468.764.
Hingga hari ini vaksinasi tahap pertama telah dilaksanakan sejumlah 1.224.091 (bertambah 33.060) dibandingkan kemarin sejumlah 1.191.031 (bertambah 26.887). Cakupan Vaksinasi tahap 1 berarti sejumlah 83,34% dibandingkan sebelumnya 81,09%.
Sedangkan vaksinasi tahap kedua telah dilaksanakan sejumlah 732.634 (bertambah 63.720) dibandingkan kemarin sejumlah 668.914 (bertambah 45.082). Cakupan Vaksinasi tahap 2 berarti sejumlah 49,88% dibandingkan sebelumnya sejumlah 45,54% .
Data tersebut diambil dari 34 provinsi. Hingga saat ini seluruh provinsi sudah terdampak Covid-19.
Berikut adalah data COVID-19 di seluruh provinsi pada tanggal 20 Februari 2021:










