Kasus Positif Jabar Masih Tertinggi, COVID-19 di Indonesia 26 Februari 2021

0
679

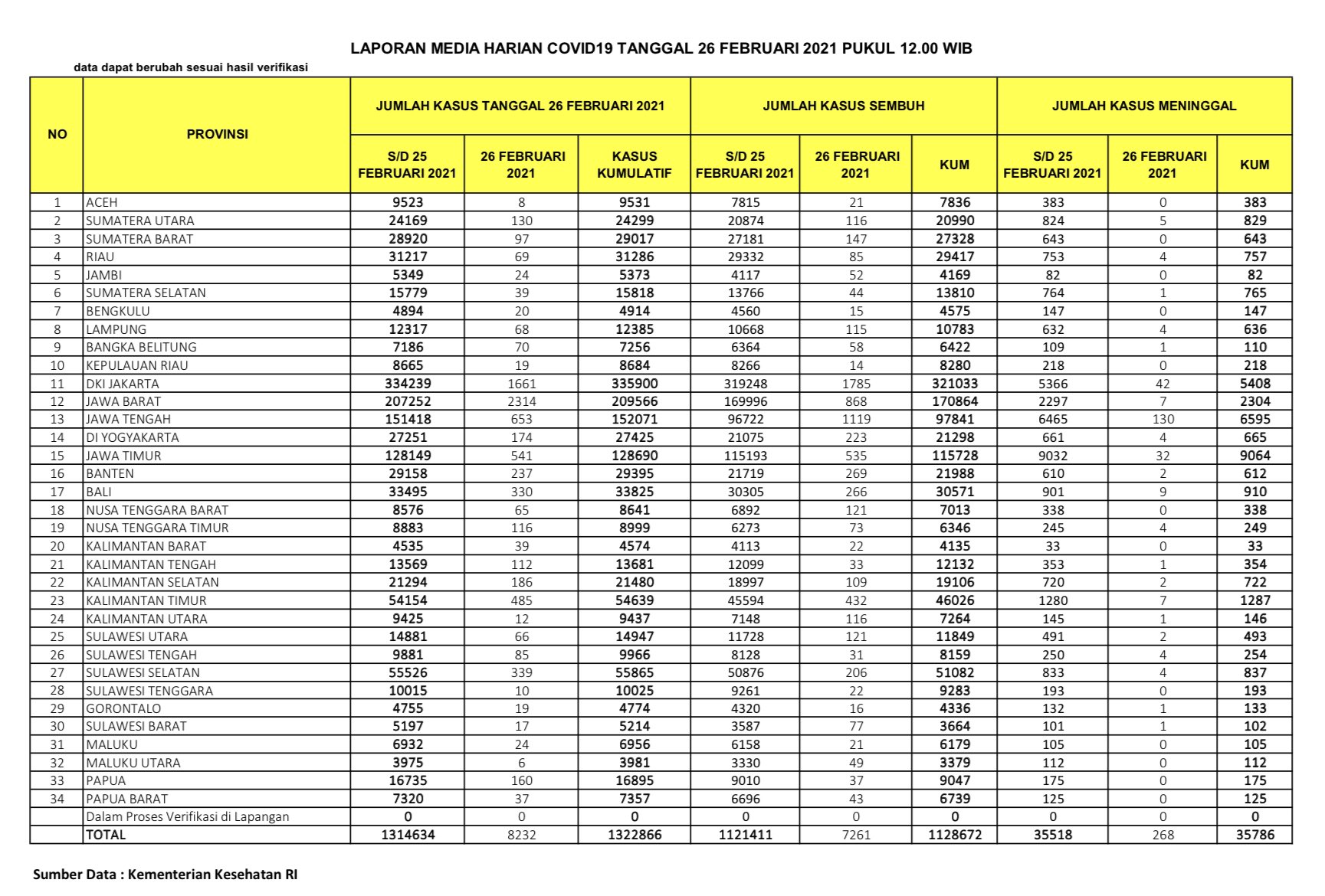
(Vibizmedia – Nasional) Berikut adalah angka akumulatif perkembangan data kasus Covid-19 dari seluruh Indonesia hingga tanggal 26 Februari 2021.

Penambahan Kasus Positif Menurun

Total kasus positif dilaporkan kemarin sejumlah 1.314.634 kasus. Hari ini kasus positif terinfeksi COVID-19 dilaporkan bertambah sebanyak  8.232 kasus. Sehingga total akumulatif menjadi sejumlah 1.322.866 kasus positif. Dengan demikian telah terjadi penurunan kasus dari sejumlah 8.493  kasus kemarin menjadi   8.232 kasus.

Angka pertambahan  kasus positif tertinggi adalah   Jawa Barat (2.314), DKI Jakarta (1.661), Jawa Tengah (653),  Jawa Timur (541), Kalimantan Timur (485), Sulawesi Selatan (339), Bali (330), Banten (237),  Kalimantan Selatan (186), DIY (174).

Jawa Barat dan DKI Jakarta masih tinggi,  ribuan jumlahnya. Sementara provinsi lainnya di  bawah 1000. Setelah DKI Jakarta maka diikuti oleh Jawa Tengah, Jawa Timur, Kalimantan Timur, Sulawesi Selatan,  Bali,   Banten, Kalimantan Selatan dan DIY.

Berikut rincian kasus positif per provinsi per tanggal 26 Februari 2021:

– Jabar 2.314

– Jakarta 1.661

– Jateng 653

– Jatim 541

– Kaltim 485

– Sulsel 339

– Bali 330

– Banten 237

– Kalsel 186

– DIY 174

– Papua 160

– Sumut 130

– NTT 116

– Kalteng 112

– Sumbar 97

– Sulteng 86

– Babel 70

– Riau 69

– Lampung 68

– Sulut 66

– NTB 65

– Sumsel 39

– Kalbar 39

– Papbar 37

– Jambi 24

– Maluku 24

– Bengkulu 20

– Kepri 19

– Gorontalo 19

– Sulbar 17

– Kaltara 12

– Sultra 10

– Aceh 8

– Malut 6

Terdaftar provinsi yang tingkat penambahannya di bawah 10 kasus positif ada 2 provinsi : Aceh, Maluku Utara.

Daftar provinsi yang tercatat  tidak ada penambahan pasien terkonfirmasi positif Covid-19: TIDAK ADA

Persentase Sembuh Cukup Tinggi

Jumlah kasus sembuh kemarin adalah 1.121.411 orang dan hari ini dilaporkan bertambah 7.261 orang, sehingga total yang dinyatakan sembuh menjadi sejumlah 1.128.672. Jika kemarin dilaporkan bertambah  8.686 orang, maka hari ini  sejumlah 7.261 kasus sembuh.

Selain itu, persentase jumlah kasus sembuh cukup tinggi yaitu sejumlah 85,32%. Meningkat dibandingkan kemarin sebesar 85,30%. Hal ini didapat jika dibandingkan total kasus positif sejumlah  1.322.866.

Angka kesembuhan tertinggi adalah  DKI Jakarta (1.785),  Jawa Tengah (1.119),  Jawa Barat (868),  Jawa Timur (535), Kalimantan Timur (432), Banten (269), Bali (266), DI Yogyakarta (223), Sulawesi Selatan (206).

Kasus Meninggal Meningkat

Untuk kasus meninggal, jika kemarin diberitakan ada sejumlah 35.518 orang, maka hari ini bertambah sebanyak 268 orang, sehingga total kasus meninggal menjadi 35.786 orang. Dengan demikian telah terjadi kenaikan, jika kemarin tercatat 264 orang kasus meninggal maka hari ini tercatat   268 orang.

Kasus Aktif Menurun

Hari ini pada  tanggal 26 Februari  2021 kasus aktif menjadi sebesar  158.408 (bertambah 703). Sedangkan kemarin  kasus aktif sebesar 157.705 (berkurang sejumlah 457)

Jumlah kasus suspek sejumlah 75.822, dibandingkan kemarin sejumlah 77.293 suspek. Selain itu ada 63.872 spesimen dibandingkan kemarin sejumlah 69.544   esspesimen .

Akumulasi data tersebut diambil dari hasil uji spesimen sebanyak  10.708.307 spesimen yang dilakukan menggunakan metode Polymerase Chain Reaction (PCR) dan TCM (Test Cepat Molekuler) dari sejumlah  7.141.629 orang yang ditest.

Positivity Rate Meningkat

Positive rate adalah jumlah hasil pemeriksaan yang dinyatakan positif dibagi keseluruhan jumlah total pemeriksaan.  Secara harian maka ada penambahan orang yang ditest sejumlah 39.766 dengan 20,7% positive rate.  Dibandingkan kemarin sejumlah 50.019 dengan  16,98% positive rate.

Rata-rata Harian dalam 7 Hari Terakhir

Sementara  itu rata-rata harian dalam 7 hari terakhir adalah sebagai berikut: Jumlah spesimen 61.534, dibanding kemarin sejumlah 65.098.  Sedangkan jumlah orang yang diperiksa  43.227 dibanding kemarin sejumlah 47.805 . Selain itu kasus positif sejumlah 8.510 (tingkat positivitas 19,69%)  dibanding kemarin sejumlah  8.850 (tingkat positivitas 18,51%.  Positive rate keseluruhan  sebesar  18,52% (1.322.866 kasus / 7.141.629  orang yang diperiksa), dibanding kemarin sebesar   18,51% (1.314.634 kasus / 7.101.863  orang  yang diperiksa).

Progress Harian Vaksinasi COVID-19

Berdasarkan laporan Kemenkes pada tanggal 26 Februari 2021 maka total sasaran vaksinasi secara keseluruhan adalah sejumlah 181.554.465.

Sedangkan jumlah sasaran vaksinasi COVID-19 untuk Tenaga Kesehatan sejumlah  1.468.764.

Hingga hari ini vaksinasi tahap pertama telah dilaksanakan sejumlah 1.583.581 (bertambah 121.661) dibandingkan kemarin sejumlah 1.461.920 (bertambah  98.782).  

Sedangkan vaksinasi tahap kedua telah dilaksanakan sejumlah   865.870 (bertambah 12.125) dibandingkan kemarin sejumlah 853.745 (bertambah 28.095).

Data tersebut diambil dari 34 provinsi.  Hingga saat ini seluruh provinsi sudah terdampak Covid-19.

Berikut adalah data COVID-19 di seluruh provinsi pada tanggal 26 Februari 2021:

LEAVE A REPLY

Please enter your comment!
Please enter your name here