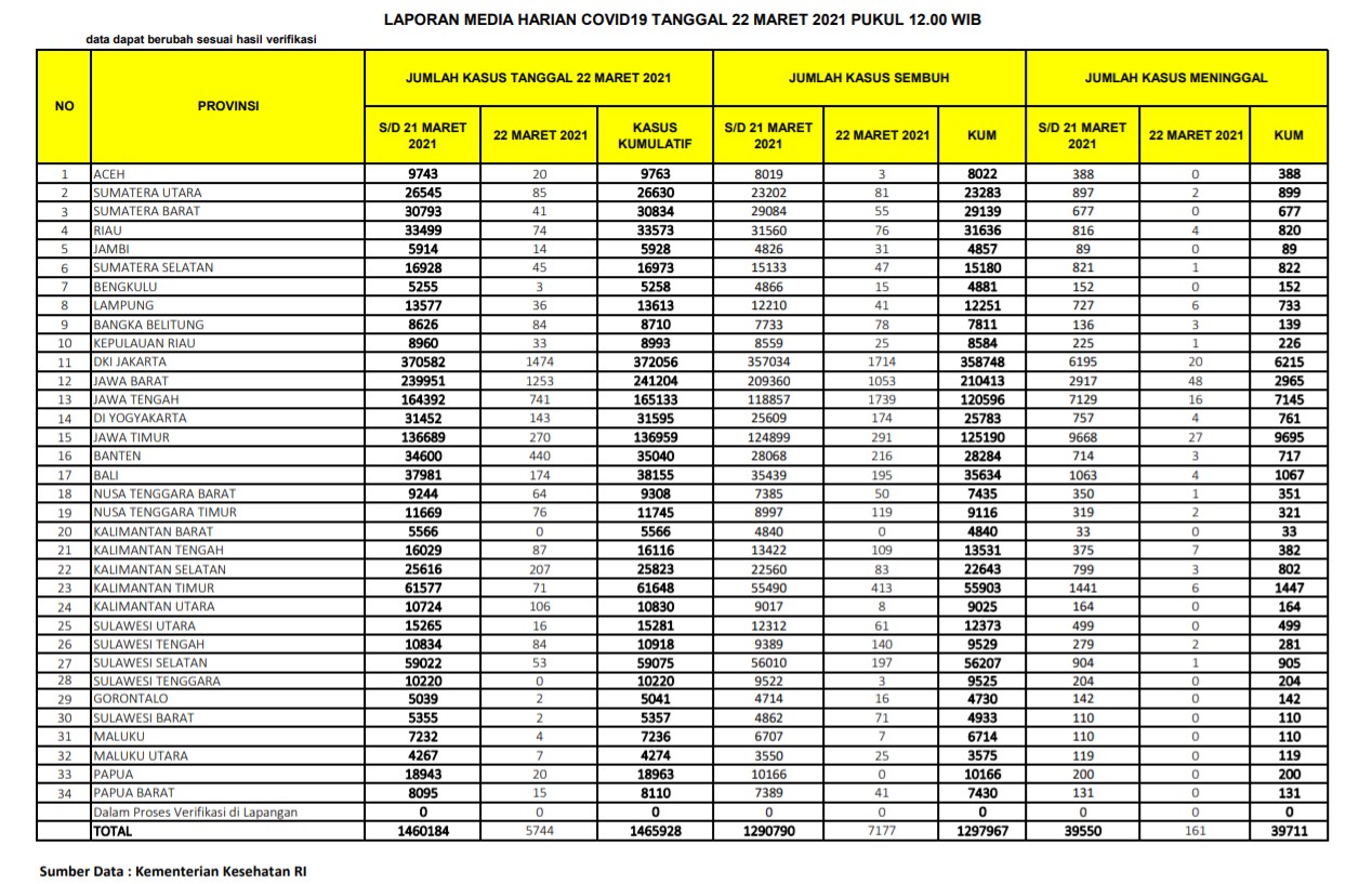
(Vibizmedia – Nasional) Berikut adalah angka akumulatif perkembangan data kasus Covid-19 dari seluruh Indonesia hingga tanggal 22 Maret 2021.
Penambahan Kasus Positif Meningkat
Total kasus positif dilaporkan kemarin sejumlah 1.460.184 kasus. Hari ini kasus positif terinfeksi COVID-19 dilaporkan bertambah sebanyak 5.744 kasus. Sehingga total akumulatif menjadi sejumlah 1.465.928 kasus positif. Dengan demikian telah terjadi kenaikan kasus dari sejumlah 4.396 kasus kemarin menjadi 5.744 kasus.
Angka pertambahan kasus positif tertinggi adalah DKI Jakarta (1.474), Jawa Barat (1.253), Jawa Tengah (741), Banten (440), Jawa Timur (270), Kalimantan Selatan (207), Bali (174), DIY (143), Kalimantan Utara (106).
Penambahan kasus positif tertinggi adalah DKI Jakarta dan diikuti Jawa Barat, keduanya memiliki penambahan di atas 1000. Diikuti oleh Jawa Tengah, Banten, Jawa Timur, Kalimantan Selatan, Bali, DIY, Kalimantan Utara.
Berikut rincian kasus positif per provinsi per tanggal 22 Maret 2021:
– Jakarta 1.474
– Jabar 1.253
– Jateng 741
– Banten 440
– Jatim 270
– Kalsel 207
– Bali 174
– DIY 143
– Kaltara 106
– Kalteng 87
– Sumut 85
– Babel 84
– Sulteng 84
– NTT 76
– Riau 74
– Kaltim 71
– NTB 64
– Sulsel 53
– Sumsel 45
– Sumbar 41
– Lampung 36
– Kepri 33
– Aceh 20
– Papua 20
– Sulut 16
– Papbar 15
– Jambi 14
– Malut 7
– Maluku 4
– Bengkulu 3
– Gorontalo 2
– Sulbar 2
Terdaftar provinsi yang tingkat penambahannya di bawah 10 kasus positif ada 7 provinsi : Maluku Utara, Maluku, Bengkulu, Gorontalo, Sulawesi Barat, Kalimantan Barat, Sulawesi Tenggara.
Daftar provinsi yang tercatat tidak ada penambahan pasien terkonfirmasi positif Covid-19 ada 2 provinsi : Kalimantan Barat, Sulawesi Tenggara
Kasus Sembuh dan Persentase Sembuh Meningkat
Jumlah kasus sembuh kemarin adalah 1.284.725 orang dan hari ini dilaporkan bertambah 7.177 orang, sehingga total yang dinyatakan sembuh menjadi sejumlah 1.290.790. Jika kemarin dilaporkan bertambah 6.065 orang, maka hari ini meningkat menjadi sejumlah 7.177 kasus sembuh.
Selain itu persentase jumlah kasus sembuh cukup tinggi yaitu sejumlah 88,54%. Meningkat dibandingkan kemarin sebesar 88,34%. Hal ini didapat jika dibandingkan total kasus positif sejumlah 1.465.928 .
Angka kesembuhan tertinggi adalah Jawa Tengah (1.739), DKI Jakarta (1.714), Jawa Barat (1.053), Kalimantan Timur (413), Jawa Timur (291), Banten (216), Sulawesi Selatan (197), Bali (195), DI Yogyakarta (174), Sulawesi Tengah (140), Nusa Tenggara Timur (119), Kalimantan Tengah (109).
Kasus Meninggal Meningkat
Untuk kasus meninggal, jika kemarin diberitakan ada sejumlah 39.550. orang, maka hari ini bertambah sebanyak 161 orang, sehingga total kasus meninggal menjadi 39.711 orang. Dengan demikian telah terjadi kenaikan, jika kemarin tercatat 103 orang kasus meninggal maka hari ini tercatat 161 orang.
Kasus Aktif Terus Menurun
Kasus aktif pada tanggal 22 Maret adalah sejumlah 128.250 (turun sebesar 1.594).
Penurunan kasus juga terjadi pada tanggal 21 Maret dimana kasus aktif sejumlah 129.844 (turun sebesar 1.772) dan tanggal 20 Maret 2021 kasus aktif sebesar 131.616 (turun sebesar 212). Jadi dalam 3 harı berturut-turut kasus aktif terus menurun.
Jumlah kasus suspek sejumlah 41.674 dibandingkan kemarin sejumlah 59.992 suspek. Selain itu ada 43.755 spesimen dibandingkan kemarin sejumlah 59.992 spesimen .
Akumulasi data tersebut diambil dari hasil uji spesimen sebanyak 12.099.467 spesimen yang dilakukan menggunakan metode Polymerase Chain Reaction (PCR) dan TCM (Test Cepat Molekuler) dari sejumlah 8.076.608 orang yang ditest.
Positivity Rate Harian Menurun
Positive rate adalah jumlah hasil pemeriksaan yang dinyatakan positif dibagi keseluruhan jumlah total pemeriksaan. Secara harian maka ada penambahan orang yang ditest sejumlah 37.582 dengan 15,28% positive rate, dibandingkan kemarin sejumlah 26.304 dengan 16,7% positive rate.
Progress Harian Vaksinasi COVID-19
Berdasarkan laporan Kemenkes maka total sasaran vaksinasi secara keseluruhan adalah sejumlah 181.554.465.
Target sasaran vaksinasi saat ini sejumlah 40.349.051. Terdiri dari SDM Kesehatan sejumlah 1.468.764, Petugas Publik sejumlah 17.327.169 dan Lansia sejumlah 21.553.118.
Hingga hari ini vaksinasi tahap pertama telah dilaksanakan total sejumlah 5.567.280 (bertambah 33.901) dengan persentase 13,80%. Dibandingkan kemarin sejumlah 5.533.379 (bertambah 408.431) dengan persentase 13,80%.
Sedangkan vaksinasi tahap kedua telah dilaksanakan total sejumlah 2.312.601 (bertambah 10.623) dengan persentase 5,73%. Dibandingkan kemarin sejumlah 2.301.978 (bertambah 80.778) dengan persentase 5,73%.
Data tersebut diambil dari 34 provinsi. Hingga saat ini seluruh provinsi sudah terdampak Covid-19.
Berikut adalah data COVID-19 di seluruh provinsi pada tanggal 22 Maret 2021:










