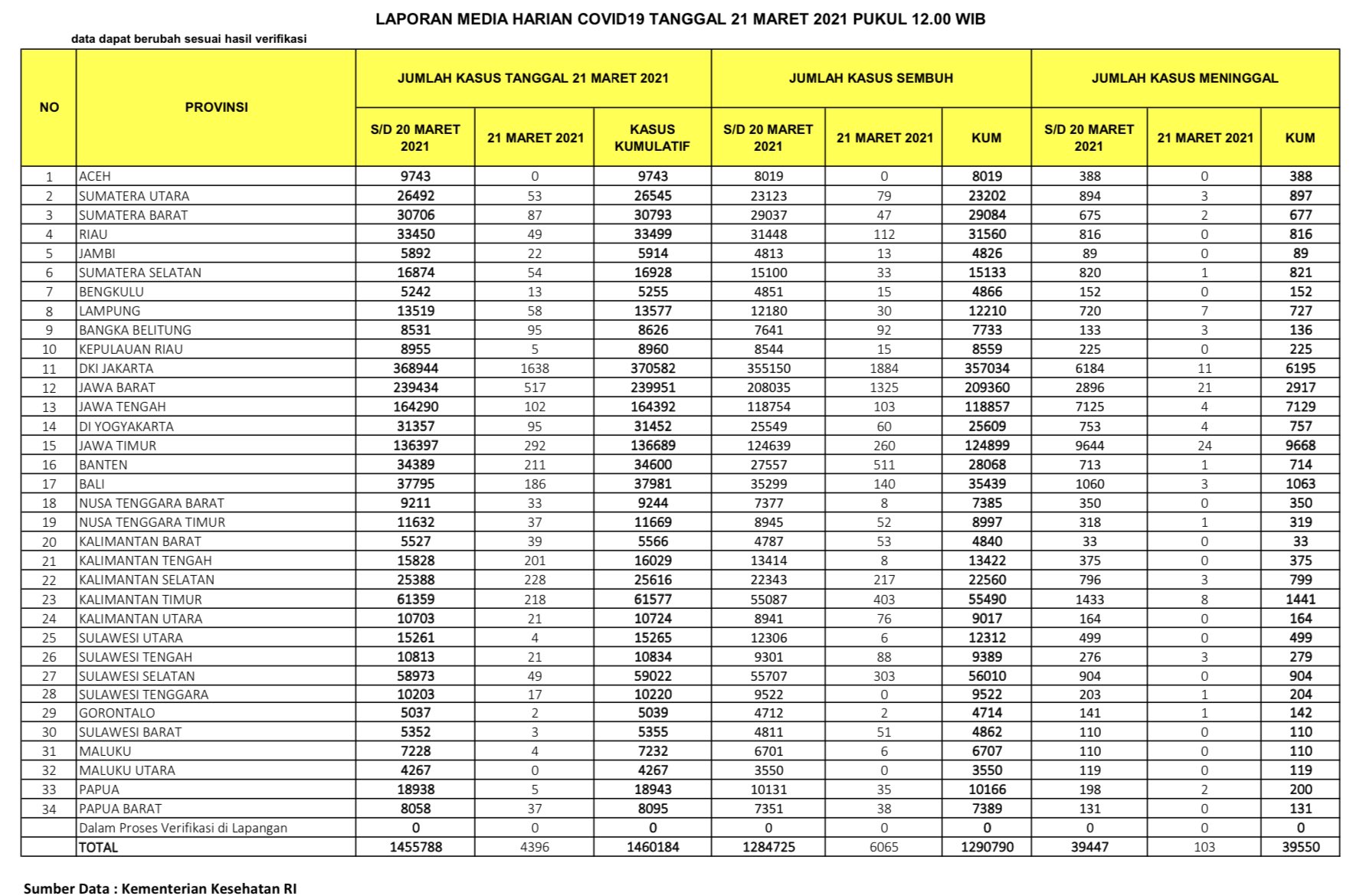
(Vibizmedia – Nasional) Berikut adalah angka akumulatif perkembangan data kasus Covid-19 dari seluruh Indonesia hingga tanggal 21 Maret 2021.
Penambahan Kasus Positif Menurun Kembali
Total kasus positif dilaporkan kemarin sejumlah 1.455.788 kasus. Hari ini kasus positif terinfeksi COVID-19 dilaporkan bertambah sebanyak 4.396 kasus. Sehingga total akumulatif menjadi sejumlah 1.460.184 kasus positif. Dengan demikian telah terjadi penurunan kasus dari sejumlah 5.656 kasus kemarin menjadi 4.396 kasus. Maka dalam 4 harı berturut-turut penambahan kasus positif menurun.
Angka pertambahan kasus positif tertinggi adalah DKI Jakarta (1.638), Jawa Barat (517), Jawa Timur (292), Kalimantan Selatan (228), Kalimantan Timur (218), Banten (211), Bali (186), Jawa Tengah (102).
Penambahan kasus positif tertinggi adalah DKI Jakarta, satu-satunya dengan penambahan di atas 1000. Diikuti oleh Jawa Barat, Jawa Timur, Kalimantan Selatan, Kalimantan Timur, Banten, Bali, Jawa Tengah.
Berikut rincian kasus positif per provinsi per tanggal 21 Maret 2021:
– Jakarta 1.638
– Jabar 517
– Jatim 292
– Kalsel 228
– Kaltim 218
– Banten 211
– Kalteng 201
– Bali 186
– Jateng 102
– Babel 95
– DIY 95
– Sumbar 87
– Lampung 58
– Sumsel 54
– Sumut 53
– Riau 49
– Sulsel 49
– Kalbar 39
– NTT 37
– Papbar 37
– NTB 33
– Jambi 22
– Kaltara 21
– Sulteng 21
– Sultra 17
– Bengkulu 13
– Kepri 5
– Papua 5
– Sulut 4
– Maluku 4
– Sulbar 3
– Gorontalo 2
Terdaftar provinsi yang tingkat penambahannya di bawah 10 kasus positif ada 8 provinsi : Kepulauan Riau, Papua, Sulawesi Utara, Maluku, Sulawesi Barat, Gorontalo, Aceh, Maluku Utara.
Daftar provinsi yang tercatat tidak ada penambahan pasien terkonfirmasi positif Covid-19 ada 2 provinsi : Aceh, Maluku Utara
Persentase Sembuh Meningkat
Jumlah kasus sembuh kemarin adalah 1.284.725 orang dan hari ini dilaporkan bertambah 6.065 orang, sehingga total yang dinyatakan sembuh menjadi sejumlah 1.290.790. Jika kemarin dilaporkan bertambah 5.760, orang, maka hari ini meningkat menjadi sejumlah 6.065 kasus sembuh.
Selain itu persentase jumlah kasus sembuh cukup tinggi yaitu sejumlah 88,34%. Meningkat dibandingkan kemarin sebesar 88,23%. Hal ini didapat jika dibandingkan total kasus positif sejumlah 1.460.184.
Angka kesembuhan tertinggi adalah DKI Jakarta (1.884), Jawa Barat (1.325), Banten (511), Kalimantan Timur (403), Sulawesi Selatan (303), Jawa Timur (260), Kalimantan Selatan (217), Bali (140), Riau (112), Jawa Tengah (103).
Kasus Meninggal Menurun
Untuk kasus meninggal, jika kemarin diberitakan ada sejumlah 39.447. orang, maka hari ini bertambah sebanyak 103 orang, sehingga total kasus meninggal menjadi 39.550 orang. Dengan demikian telah terjadi penurunan, jika kemarin tercatat 108 orang kasus meninggal maka hari ini tercatat 103 orang.
Kasus Aktif Menurun
Kasus aktif pada tanggal 21 Maret Adalah sejumlah 129.844 (turun sebesar 1.772). Dibandingkan kemarin tanggal 20 Maret 2021 kasus aktif sebesar 131.616 (turun sebesar 212). Jadi dalam 2 harı ini kasus aktif terus menurun.
Jumlah kasus suspek sejumlah 59.992 dibandingkan kemarin sejumlah 58.236 suspek. Selain itu ada 59.992 spesimen dibandingkan kemarin sejumlah 69.700 spesimen .
Akumulasi data tersebut diambil dari hasil uji spesimen sebanyak 12.055.712 spesimen yang dilakukan menggunakan metode Polymerase Chain Reaction (PCR) dan TCM (Test Cepat Molekuler) dari sejumlah 8.039.026 orang yang ditest.
Positivity Rate Harian Meningkat
Positive rate adalah jumlah hasil pemeriksaan yang dinyatakan positif dibagi keseluruhan jumlah total pemeriksaan. Secara harian maka ada penambahan orang yang ditest sejumlah 26.304 dengan 16,7% positive rate, dibandingkan kemarin sejumlah 43.807 dengan 12,9% positive rate.
Progress Harian Vaksinasi COVID-19
Berdasarkan laporan Kemenkes maka total sasaran vaksinasi secara keseluruhan adalah sejumlah 181.554.465.
Target sasaran vaksinasi saat ini sejumlah 40.349.051. Terdiri dari SDM Kesehatan sejumlah 1.468.764, Petugas Publik sejumlah 17.327.169 dan Lansia sejumlah 21.553.118.
Hingga hari ini vaksinasi tahap pertama telah dilaksanakan total sejumlah 5.533.379 (bertambah 408.431) dengan persentase 13,80%. Dibandingkan kemarin sejumlah 5.124.948 (bertambah 165.885) dengan persentase 13,71%.
Sedangkan vaksinasi tahap kedua telah dilaksanakan total sejumlah 2.301.978 (bertambah 80.778) dengan persentase 5,73%. Dibandingkan kemarin sejumlah 2.221.200 (bertambah 152.800) dengan persentase 5,71%. .
Data tersebut diambil dari 34 provinsi. Hingga saat ini seluruh provinsi sudah terdampak Covid-19.
Berikut adalah data COVID-19 di seluruh provinsi pada tanggal 21 Maret 2021:










