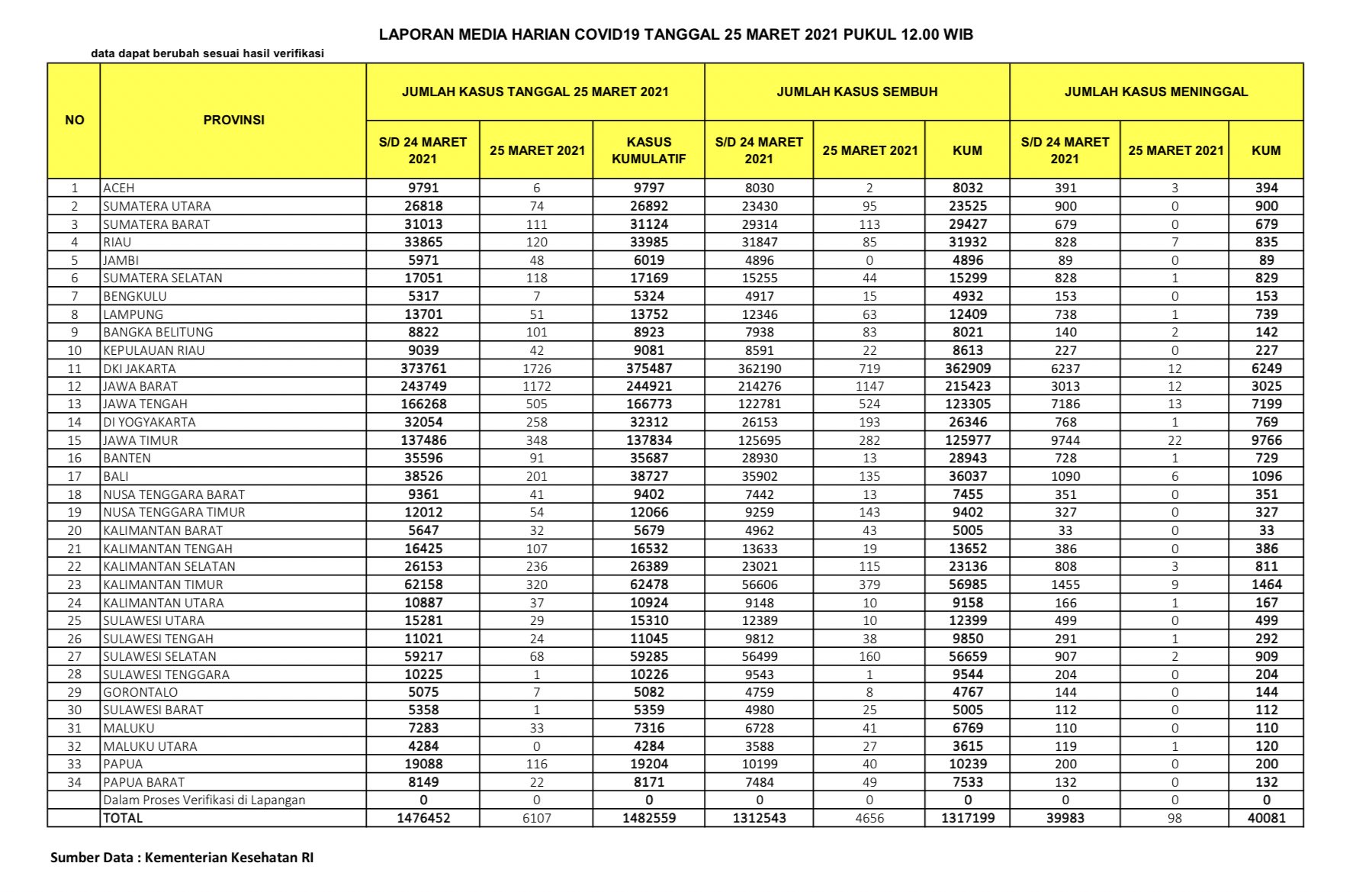
(Vibizmedia – Nasional) Berikut adalah angka akumulatif perkembangan data kasus Covid-19 dari seluruh Indonesia hingga tanggal 25 Maret 2021.
Penambahan Kasus Positif Meningkat
Total kasus positif dilaporkan kemarin sejumlah 1.476.452 kasus. Hari ini kasus positif terinfeksi COVID-19 dilaporkan bertambah sebanyak 6.107 kasus. Sehingga total akumulatif menjadi sejumlah 1.482.559 kasus positif. Dengan demikian telah terjadi kenaikan kasus dari sejumlah 5.227 kasus kemarin menjadi 6.107 kasus.
Angka pertambahan kasus positif tertinggi adalah DKI Jakarta (1.726), Jawa Barat (1.172), Jawa Tengah (505), Jawa Timur ( 348), Kalimantan Timur (320), DIY (258), Kalimantan Selatan (236), Bali (201), Riau (120), Sumatera Selatan (118), Papua (116), Sumatera Barat (111), Kalimantan Tengah (107).
Penambahan kasus positif tertinggi adalah DKI Jakarta, diikuti dengan Jawa Barat, kedua provinsi ini memiliki penambahan di atas 1000. Diikuti Jawa Tengah, Jawa Timur, Kalimantan Timur, DIY, Kalimantan Selatan, Bali, Riau, Sumatera Selatan, Papua, Sumatera Barat, Kalimantan Tengah.
Berikut rincian kasus positif per provinsi per tanggal 25 Maret 2021:
– Jakarta 1.726
– Jabar 1.172
– Jateng 505
– Jatim 348
– Kaltim 320
– DIY 258
– Kalsel 236
– Bali 201
– Riau 120
– Sumsel 118
– Papua 116
– Sumbar 111
– Kalteng 107
– Babel 101
– Banten 91
– Sumut 74
– Sulsel 68
– NTT 54
– Lampung 51
– Jambi 48
– Kepri 42
– NTB 41
– Kaltara 37
– Maluku 33
– Kalbar 32
– Sulut 29
– Sulteng 24
– Papbar 22
– Bengkulu 7
– Gorontalo 7
– Aceh 6
– Sultra 1
– Sulbar 1
Terdaftar provinsi yang tingkat penambahannya di bawah 10 kasus positif ada 4 provinsi : Aceh, Sulawesi Tenggara, Sulawesi Barat, Maluku Utara.
Daftar provinsi yang tercatat tidak ada penambahan pasien terkonfirmasi positif Covid-19 ada 1 provinsi : Maluku Utara
Persentase Sembuh
Jumlah kasus sembuh kemarin adalah 1.312.543 orang dan hari ini dilaporkan bertambah 4.656 orang, sehingga total yang dinyatakan sembuh menjadi sejumlah 1.317.199. Jika kemarin dilaporkan bertambah 7.622 orang, maka hari ini menjadi sejumlah 4.656 kasus sembuh.
Selain itu persentase jumlah kasus sembuh cukup tinggi yaitu sejumlah 88,85%. Hal ini didapat jika dibandingkan total kasus positif sejumlah 1.482.559.
Angka kesembuhan tertinggi adalah Jawa Barat (1.147), DKI Jakarta (719), Jawa Tengah (524), Kalimantan Timur (379), Jawa Timur (283), DI Yogyakarta (193), Sulawesi Selatan (160), Nusa Tenggara Timur (143), Bali (135), Kalimantan Selatan (115), Sumatera Barat (113).
Kasus Meninggal Menurun
Untuk kasus meninggal, jika kemarin diberitakan ada sejumlah 39.983 orang, maka hari ini bertambah sebanyak 98 orang, sehingga total kasus meninggal menjadi 40.081 orang. Dengan demikian telah terjadi penurunan, jika kemarin tercatat 118 orang kasus meninggal maka hari ini tercatat 98 orang. Dalam 3 harı berturut-turut terjadi penurunan kasus kematian.
Kasus Aktif Meningkat
Kasus aktif pada tanggal 25 Maret 2021 adalah sejumlah 125.279 (bertambah sebesar 1.353).
Sebelumnya terjadi penurunan kasus aktif selama 5 harı, pada tanggal 24 Maret 2021 sejumlah 123.926 (turun sebesar 2.513). Juga pada tanggal 23 Maret sejumlah 126.439 (turun sebesar 1.811), pada tanggal 22 Maret sejumlah 128.250 (turun sebesar 1.594), pada tanggal 21 Maret sejumlah 129.844 (turun sebesar 1.772) dan tanggal 20 Maret 2021 kasus aktif sebesar 131.616 (turun sebesar 212).
Jumlah kasus suspek sejumlah 48.914 dibandingkan kemarin sejumlah 46.685 suspek. Selain itu ada 81.091 spesimen dibandingkan kemarin sejumlah 72.278 spesimen .
Akumulasi data tersebut diambil dari hasil uji spesimen sebanyak 12.330.338 spesimen yang dilakukan menggunakan metode Polymerase Chain Reaction (PCR) dan TCM (Test Cepat Molekuler) dari sejumlah 8.229.683 orang yang ditest.
Positivity Rate Harian Meningkat
Positive rate adalah jumlah hasil pemeriksaan yang dinyatakan positif dibagi keseluruhan jumlah total pemeriksaan. Secara harian maka ada penambahan orang yang ditest sejumlah 53.162 dengan 11,49% positive rate, dibandingkan kemarin sejumlah 44.561 dengan 10,50% positive rate.
Progress Harian Vaksinasi COVID-19
Berdasarkan laporan Kemenkes maka total sasaran vaksinasi secara keseluruhan adalah sejumlah 181.554.465.
Target sasaran vaksinasi saat ini sejumlah 40.349.051. Terdiri dari SDM Kesehatan sejumlah 1.468.764, Petugas Publik sejumlah 17.327.169 dan Lansia sejumlah 21.553.118.
Hingga hari ini vaksinasi tahap pertama telah dilaksanakan total sejumlah 6.389.837 (bertambah 411.586) dengan persentase 15,84.%. Dibandingkan kemarin sejumlah 5.978.251 (bertambah 246.041) dengan persentase 14,82%.
Sedangkan vaksinasi tahap kedua telah dilaksanakan total sejumlah 2.941.016 (bertambah 231.471) dengan persentase 7,29%. Dibandingkan kemarin sejumlah 2.709.545 (bertambah 215.123) dengan persentase 6,72%.
Data tersebut diambil dari 34 provinsi. Hingga saat ini seluruh provinsi sudah terdampak Covid-19.
Berikut adalah data COVID-19 di seluruh provinsi pada tanggal 25 Maret 2021:










