(Vibizmedia – Nasional) Berikut adalah angka akumulatif perkembangan data kasus Covid-19 dari seluruh Indonesia hingga tanggal 26 Juli 2021
Penambahan Kasus Positif Baru Menurun
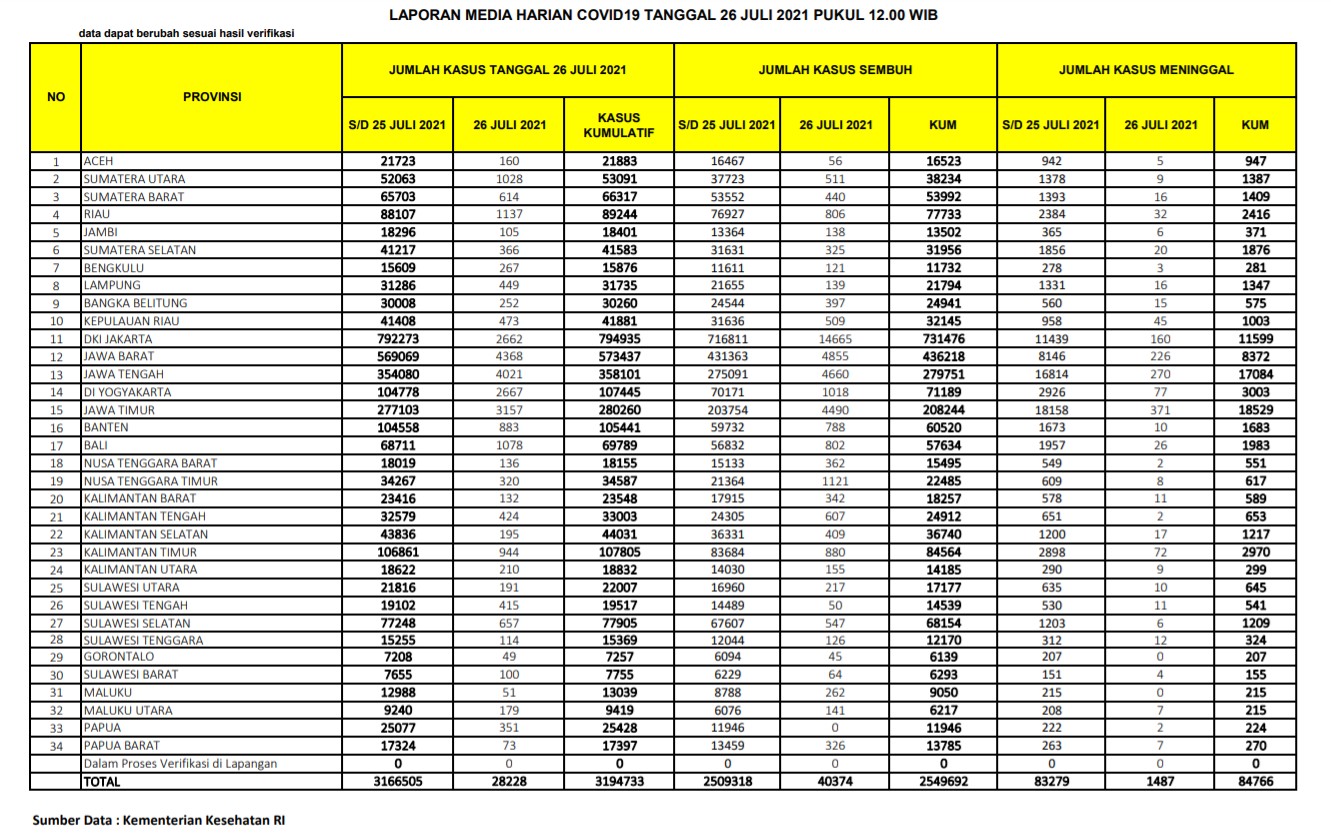
Total kasus positif dilaporkan kemarin sejumlah 3.166.505. Hari ini kasus positif terinfeksi COVID-19 dilaporkan bertambah sebanyak 28.228 kasus. Sehingga total akumulatif menjadi sejumlah 3.194.733 kasus positif. Dengan demikian kembali terjadi penurunan kasus yang cukup drastis dari sejumlah 38.679 kasus kemarin menjadi 28.228 kasus.
Hari ini Jawa Barat melaporkan penurunan kasus positif baru menjadi 4.368 dibandingkan kemarin sebesar 5.302. Jawa Tengah melaporkan penurunan kasus positif baru menjadi 4.021 dibandingkan kemarin sebesar 5.265. Jawa Timur melaporkan penurunan kasus positif baru menjadi 3.157 dibanding kemarin sebesar 4.763. DI Yogyakarta juga melaporkan kenaikan kasus positif baru menjadi 2.667 dibanding kemarin sebesar 2.145. DKI Jakarta melaporkan penurunan kasus positif baru menjadi 2.662 dibandingkan kemarin sebesar 5.393. Kalimantan Timur melaporkan penurunan kasus baru sebesar 1.693 dibanding kemarin 1.693 . Riau juga melaporkan penurunan kasus sebesar 1.137 dibanding kemarin sebesar 1.032 . Sumatera Utara melaporkan kenaikan kasus sebesar 1.031 dibandingkan kemarin sejumlah 1.276. Bali melaporkan kenaikan kasus baru sejumlah 1.078. Sumatera Utara melaporkan penurunan kasus sebesar 1.028 dibandingkan kemarin sejumlah 1.031. Jadi ada 8 provinsi melaporkan kenaikan kasus di atas 1.000.
Selebihnya melaporkan kasus positif baru di bawah 1.000, dengan jumlah di atas 300 kasus adalah Kalimantan Timur (944), Banten (883), Sulawesi Selatan (657), Sumatera Barat (614), Kepulauan Riau (473), Lampung (449), Kalimantan Tengah (424),
Sulawesi Tengah (415), Sumatera Selatan (366), Papua (351), NTT (320).
Sebaran 28.228 kasus baru pada tanggal 26 Juli 2021 adalah sebagai berikut:
– Jabar 4.368
– Jateng 4.021
– Jatim 3.157
– DIY 2.667
– DKI Jakarta 2.662
– Riau 1.137
– Bali 1.078
– Sumut 1.028
– Kaltim 944
– Banten 883
– Sulsel 657
– Sumbar 614
– Kepri 473
– Lampung 449
– Kalteng 424
– Sulteng 415
– Sumsel 366
– Papua 351
– NTT 320
– Bengkulu 267
– Babel 252
– Kaltara 210
– Kalsel 195
– Sulut 191
– Malut 179
– Aceh 160
– NTB 136
– Kalbar 132
– Sultra 114
– Jambi 105
– Sulbar 100
– Papbar 73
– Maluku 51
– Gorontalo 49
Terdaftar provinsi yang tingkat penambahannya di bawah 10 kasus positif : TIDAK ADA
Daftar provinsi yang tercatat tidak ada penambahan pasien terkonfirmasi positif Covid-19 : TIDAK ADA .
Rekor Kasus Sembuh dan Persentase Sembuh Meningkat
Jumlah kasus sembuh kemarin adalah 2.509.318 orang dan hari ini dilaporkan bertambah 40.374 orang, sehingga total yang dinyatakan sembuh menjadi sejumlah 2.549.692. Jika kemarin dilaporkan bertambah 37.640 orang, maka hari ini meningkat menjadi sejumlah 40.374 kasus sembuh, jumlah yang merupakan rekor selama ini.
Selain itu persentase jumlah kasus sembuh meningkat menjadi 79,81% dibandingkan kemarin sebesar 79,24%.
Hal ini didapat jika dibandingkan total kasus positif sejumlah 3.194.733.
Angka kesembuhan tertinggi adalah DKI Jakarta (14.665), Jawa Barat (4.855), Jawa Tengah (4.660), Jawa Timur (4.490), NTT (1.121), DI Yogyakarta (1.018), Kalimantan Timur (880), Riau (806), Bali (802), Banten (788), Kalimantan Tengah (607), Sulawesi Selatan (547), Sumatera Utara (511), Kepulauan Riau (509), Sumatera Barat (440), Kalimantan Selatan (409), Bangka Belitung (397), NTB (362), Kalimantan Barat (342), Papua Barat (326), Sumatera Selatan (325), Maluku (262), Sulawesi Utara (217).
Jumlah Kasus Meninggal Baru Naik
Untuk kasus meninggal, jika kemarin diberitakan ada sejumlah 83.279 orang, maka hari ini bertambah sebanyak 1.487 orang, sehingga total kasus meninggal menjadi 84.766 orang. Dengan demikian jika kemarin tercatat 1.266 orang kasus meninggal maka hari ini terjadi kenaikan kasus menjadi sejumlah 1.487 orang kasus meninggal.
Kasus Aktif Turun
Hari ini dilaporkan kasus aktif turun sejumlah 13.633 menjadi 560.275, dibandingkan kemarin naik sebesar 227 menjadi 573.908. Ini untuk pertama kalinya telah terjadi penurunan pada jumlah kasus aktif setelah sekian lama.
Jumlah kasus suspek sejumlah 287.987 dan ada 160.958 spesimen, dibandingkan kemarin kasus suspek sejumlah 275.145 dan ada 173.472 spesimen.
Positivity Rate Harian Menurun
Positive rate adalah jumlah hasil pemeriksaan yang dinyatakan positif dibagi keseluruhan jumlah total pemeriksaan. Secara harian maka ada penambahan orang yang ditest sejumlah 121.266 dengan 23,28% positive rate dibandingkan kemarin sejumlah 124.139 dengan 31,16% positive rate.
Progress Harian Vaksinasi COVID-19
Berdasarkan laporan Kemenkes maka total sasaran vaksinasi secara keseluruhan sejumlah 208.265.720, terdiri dari Tenaga Kesehatan, Lanjut Usia, Petugas Publik, Masyarakat Rentan, Masyarakat Umum, Usia 12-17 tahun.
Hingga hari ini vaksinasi tahap pertama telah dilaksanakan total sejumlah 44,728,320 dengan persentase 21,48% (update 26 Juli 2021 jam 12.00) dibandingkan kemarin sejumlah 44,469,974 dengan persentase 21,35% (update 25 Juli 2021 jam 12.00)
Sedangkan vaksinasi tahap kedua telah dilaksanakan total sejumlah 18,129,878 dengan persentase 8,71% (update 25 Juli 2021 jam 12.00) dibandingkan kemarin sejumlah 17,906,504 dengan persentase 8,60% (update 25 Juli 2021 jam 12.00)
Data tersebut diambil dari 34 provinsi. Hingga saat ini seluruh provinsi sudah terdampak Covid-19.
Berikut adalah data COVID-19 di seluruh provinsi pada tanggal 26 Juli 2021:










