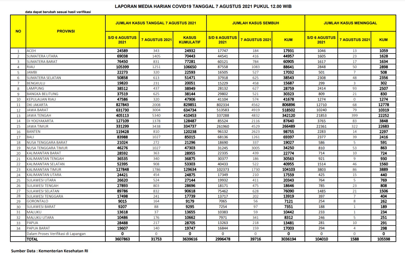
(Vibizmedia – Nasional) Berikut adalah angka akumulatif perkembangan data kasus Covid-19 dari seluruh Indonesia hingga tanggal 7 Agustus 2021
Penambahan Kasus Positif Baru Turun
Total kasus positif dilaporkan kemarin sejumlah 3.607.863. Hari ini kasus positif terinfeksi COVID-19 dilaporkan bertambah sebanyak 31.753 kasus. Sehingga total akumulatif menjadi sejumlah 3.639.616 kasus positif. Dengan demikian terjadi penurunan kasus positif baru dari sejumlah 39.532 kasus kemarin menjadi 31.753 kasus.
Hari ini Jawa Tengah melaporkan kenaikan kasus positif baru menjadi 5.340 dibandingkan kemarin sebesar 3.022. Jawa Timur melaporkan penurunan kasus positif baru menjadi 3.438 dibanding kemarin sebesar 4.490. Jawa Barat melaporkan penurunan kasus positif baru menjadi 3.004 dibandingkan kemarin sebesar 4.580. DKI Jakarta melaporkan penurunan kasus positif baru menjadi 2.008 dibandingkan kemarin sebesar 2.185. Kalimantan Timur melaporkan penurunan kasus baru sebesar 1.786 dibanding kemarin 1.815. Sumatera Utara melaporkan penurunan kasus positif baru menjadi 1.405 dibanding kemarin sebesar 2.045. DI Yogyakarta melaporkan penurunan kasus positif baru menjadi 1.378 dibanding kemarin sebesar 1.639. Riau melaporkan penurunan kasus positif baru menjadi 1.251 dibanding kemarin sebesar 2.205. Sulawesi Tengah melaporkan kenaikan kasus baru sejumlah 1.566. Bali melaporkan penurunan kasus baru sejumlah 1.027 dibanding kemarin sejumlah 1.239. NTT melaporkan penurunan kasus baru sejumlah 1.027 dibandingkan kemarin sejumlah 3.598.
Jadi ada 10 provinsi melaporkan kenaikan kasus di atas 1.000.
Selebihnya melaporkan kasus positif baru di bawah 1.000, dengan jumlah di atas 300 kasus adalah Kaliantan Selatan (908), Sulawesi Selatan (832), Sumatera Barat (831), Banten (810), Sulawesi Tengah (803), Bangka Belitung (625), Sumatera Selatan (613), Sulawesi Utara (524), Kalimantan Utara (454), Lampung (437), Kalimantan Barat (363), Aceh (343), Kalimantan Tengah (340), Jambi (320),
Kepulauan Riau (320).
Sebaran 31.753 kasus baru tanggal 7 Agustus 2021:
– Jateng 5.340
– Jatim 3.438
– Jabar 3.004
– Jakarta 2.008
– Kaltim 1.786
– Sumut 1.405
– DIY 1.378
– Riau 1.251
– Bali 1.027
– NTT 1.027
– Kalsel 908
– Sulsel 832
– Sumbar 831
– Banten 810
– Sulteng 803
– Babel 625
– Sumsel 613
– Sulut 524
– Kaltara 454
– Lampung 437
– Kalbar 363
– Aceh 343
– Kalteng 340
– Jambi 320
– Kepri 320
– NTB 272
– Sultra 241
– Bengkulu 231
– Papua 217
– Malut 176
– Gorontalo 164
– Papbar 140
– Sulbar 88
– Maluku 37
Terdaftar provinsi yang tingkat penambahannya di bawah 10 kasus positif : TIDAK ADA.
Daftar provinsi yang tercatat tidak ada penambahan pasien terkonfirmasi positif Covid-19 : TIDAK ADA .
Persentase Sembuh Meningkat
Jumlah kasus sembuh kemarin adalah 2.996.478 orang dan hari ini dilaporkan bertambah 39.716 orang, sehingga total yang dinyatakan sembuh menjadi sejumlah 3.036.194. Jika kemarin dilaporkan bertambah 48.832 orang, maka hari ini sejumlah 39.716 kasus sembuh.
Dengan demikian persentase jumlah kasus sembuh meningkat menjadi 83,42% dibandingkan kemarin sebesar 83,05%.
Hal ini didapat jika dibandingkan total kasus positif sejumlah 3.639.616.
Angka kesembuhan tertinggi adalah Jawa Barat (4.919), Jawa Tengah (4.832), DKI Jakarta (4.562), Jawa Timur (4.529), NTT (3.005), Banten (2.623), DI Yogyakarta (2.116), Kalimantan Timur (1.730), Bali (1.261), Riau (1.083), Sumatera Barat (784), Sulawesi Selatan (628), Lampung (627), Sumatera Selatan (625), Kepulauan Riau (574), Jambi (527), Kalimantan Selatan (522), Bangka Belitung (521), Sulawesi Tengah (475), Bengkulu (458), Kalimantan Barat (439), Sumatera Utara (416), Sulawesi Utara (411), Maluku Utara (341), NTB (337).
Jumlah Kasus Meninggal Baru Turun
Untuk kasus meninggal, jika kemarin diberitakan ada sejumlah 104.256 orang, maka hari ini bertambah sebanyak 1.588 orang, sehingga total kasus meninggal menjadi 105.598 orang. Dengan demikian jika kemarin tercatat 1.881 orang kasus meninggal maka hari ini terjadi penurunan kasus menjadi sejumlah 1.588 orang kasus meninggal.
Kasus Aktif Turun Kembali
Hari ini dilaporkan kasus aktif turun sejumlah 9.551 menjadi 497.824, dibandingkan kemarin turun sejumlah 11.181 menjadi 507.129. Sejak tanggal 4 Agustus 2021 hingga harı ini kasus aktif turun dalam 4 harı berturut-turut.
Jumlah kasus suspek sejumlah 218.183 dan ada 235.967 spesimen, dibandingkan kemarin kasus suspek sejumlah 196.829 dan ada 237.556 spesimen.
Positivity Rate Harian Turun
Positive rate adalah jumlah hasil pemeriksaan yang dinyatakan positif dibagi keseluruhan jumlah total pemeriksaan. Secara harian maka ada penambahan orang yang ditest sejumlah 144.055 dengan 22,04% positive rate dibandingkan kemarin sejumlah 148.980 dengan 26,54% positive rate
Progress Harian Vaksinasi COVID-19
Berdasarkan laporan Kemenkes maka total sasaran vaksinasi secara keseluruhan sejumlah 208.265.720, terdiri dari Tenaga Kesehatan, Lanjut Usia, Petugas Publik, Masyarakat Rentan, Masyarakat Umum, Usia 12-17 tahun.
Hingga hari ini vaksinasi tahap pertama telah dilaksanakan total sejumlah 49,801,823 dengan persentase 23,91% (update 7 Agustus 2021 jam 18.00) dibandingkan kemarin sejumlah 49,391,058 dengan persentase 23,72% (update 6 Agustus 2021 jam 12.00.
Sedangkan vaksinasi tahap kedua telah dilaksanakan total sejumlah 23,345,264 dengan persentase 11,21% (update 7 Agustus 2021 jam 18.00) dibandingkan kemarin sejumlah 22,891,824 dengan persentase 10,99% (update 6 Agustus 2021 jam 12.00).
Data tersebut diambil dari 34 provinsi. Hingga saat ini seluruh provinsi sudah terdampak Covid-19.
Berikut adalah data COVID-19 di seluruh provinsi pada tanggal 7 Agustus 2021:









