(Vibizmedia – Nasional) Berikut adalah angka akumulatif perkembangan data kasus Covid-19 dari seluruh Indonesia hingga tanggal 10 Agustus 2021
Penambahan Kasus Positif Naik
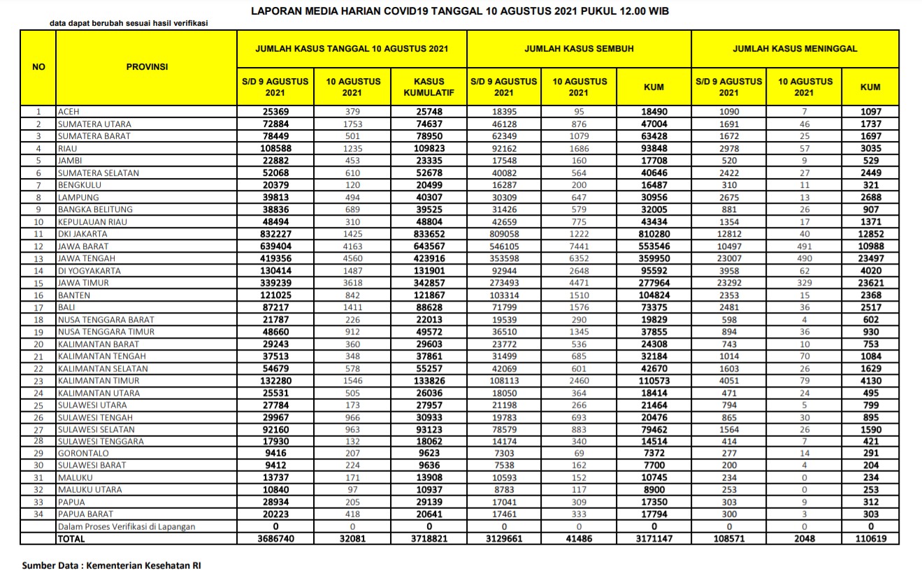
Total kasus positif dilaporkan kemarin sejumlah 3.686.740. Hari ini kasus positif terinfeksi COVID-19 dilaporkan bertambah sebanyak 32.081 kasus. Sehingga total akumulatif menjadi sejumlah 3.718.821 kasus positif. Dengan demikian terjadi kenaikan kasus positif baru dari sejumlah 20.709 kasus kemarin menjadi 32.081 kasus.
Hari ini Jawa Tengah melaporkan kenaikan kasus positif baru menjadi 4.560 dibandingkan kemarin sebesar 4.210. Jawa Barat melaporkan kenaikan kasus positif baru menjadi 4.163 dibandingkan kemarin sebesar 2.422. Jawa Timur melaporkan kenaikan kasus positif baru menjadi 3.618 dibanding kemarin sebesar 1.965. Sumatera Utara melaporkan kenaikan kasus positif baru menjadi 1.753 dibanding kemarin sebesar 1.035. Kalimantan Timur melaporkan penurunan kasus baru sebesar 1.546 dibanding kemarin 1.070. DIY melaporkan kenaikan kasus baru sejumlah 1.487. DKI Jakarta melaporkan kenaikan kasus baru sejumlah 1.425. Bali melaporkan kenaikan kasus baru sejumlah 1.411 dibanding kemarin sejumlah 1.018. Riau melaporkan kenaikan kasus baru sejumlah 1.235.
Dengan demikian ada 9 provinsi melaporkan kenaikan kasus di atas 1.000.
Selebihnya melaporkan kasus positif baru di bawah 1.000, dengan jumlah di atas 300 kasus adalah Sulawesi Tengah (966), Sulawesi Selatan (963), NTT (912), Banten (842), Bangka Belitung (689), Sumatera Selatan (610), Kalimantan Selatan (578), Kalimantan Utara (505), Sumatera Barat (501), Lampung (494), Jambi (453), Papua Barat (418), Aceh (379), Kalimantan Barat (360), Kalimantan Tengah (348), Kepulauan Riau (310).
Sebaran 32.081 kasus baru tanggal 10 Agustus 2021 adalah:
– Jateng 4.560
– Jabar 4.163
– Jatim 3.618
– Sumut 1.753
– Kaltim 1.546
– DIY 1.487
– Jakarta 1.425
– Bali 1.411
– Riau 1.235
– Sulteng 966
– Sulsel 963
– NTT 912
– Banten 842
– Babel 689
– Sumsel 610
– Kalsel 578
– Kaltara 505
– Sumbar 501
– Lampung 494
– Jambi 453
– Papbar 418
– Aceh 379
– Kalbar 360
– Kalteng 348
– Kepri 310
– NTB 226
– Sulbar 224
– Gorontalo 207
– Papua 205
– Sulut 173
– Maluku 171
– Sultra 132
– Bengkulu 120
– Malut 97
Terdaftar provinsi yang tingkat penambahannya di bawah 10 kasus positif : TIDAK ADA.
Daftar provinsi yang tercatat tidak ada penambahan pasien terkonfirmasi positif Covid-19 : TIDAK ADA.
Persentase Sembuh Meningkat
Jumlah kasus sembuh kemarin adalah 3.129,661 orang dan hari ini dilaporkan bertambah 41.486 orang, sehingga total yang dinyatakan sembuh menjadi sejumlah 3.171.147. Jika kemarin dilaporkan bertambah 44.959 orang, maka hari ini sejumlah 41.486 kasus sembuh.
Dengan demikian persentase jumlah kasus sembuh meningkat menjadi 85,21% dibandingkan kemarin sebesar 84,89%.
Hal ini didapat jika dibandingkan total kasus positif sejumlah 3.718.821.
Angka kesembuhan tertinggi adalah Jawa Barat (7.441), Jawa Tengah (6.352), Jawa Timur (4.471), DI Yogyakarta (2.648), Kalimantan Timur (2.460), Riau (1.686), Bali (1.576), Banten (1.510), NTT (1.345), DKI Jakarta (1.222), Sumatera Barat (1.079), Sulawesi Selatan (883), Sumatera Utara (876), Kepulauan Riau (775), Sulawesi Tengah (693), Kalimantan Tengah (685), Lampung (647), Kalimantan Selatan (601), Bangka Belitung (579), Sumatera Selatan (564), Kalimantan Barat (536), Kalimantan Utara (364), Sulawesi Tenggara (340), Papua Barat (333), Papua (309).
Jumlah Kasus Meninggal Baru Naik
Untuk kasus meninggal, jika kemarin diberitakan ada sejumlah 108.571 orang, maka hari ini bertambah sebanyak 2.048 orang, sehingga total kasus meninggal menjadi 110.619 orang. Dengan demikian jika kemarin tercatat 1.475 orang kasus meninggal maka hari ini terjadi kenaikan kasus menjadi sejumlah 2.048 orang kasus meninggal.
Kasus Aktif Turun Kembali
Hari ini dilaporkan kasus aktif turun sejumlah 11.453 menjadi 437.055, dibandingkan kemarin turun sejumlah turun sejumlah 25.725 menjadi 448.408. Sejak tanggal 4 Agustus 2021 hingga harı ini kasus aktif turun dalam 7 harı berturut-turut.
Jumlah kasus suspek sejumlah 273.575 dan ada 241.152 spesimen, dibandingkan kemarin kasus suspek sejumlah 256.748 dan ada 145.202 spesimen.
Positivity Rate Harian Naik
Positive rate adalah jumlah hasil pemeriksaan yang dinyatakan positif dibagi keseluruhan jumlah total pemeriksaan. Secara harian maka ada penambahan orang yang ditest sejumlah 146.150 dengan 21,95% positive rate dibandingkan kemarin sejumlah 99.387 dengan 20,84% positive rate
Progress Harian Vaksinasi COVID-19
Berdasarkan laporan Kemenkes maka total sasaran vaksinasi secara keseluruhan sejumlah 208.265.720, terdiri dari Tenaga Kesehatan, Lanjut Usia, Petugas Publik, Masyarakat Rentan, Masyarakat Umum, Usia 12-17 tahun.
Hingga hari ini vaksinasi tahap pertama telah dilaksanakan total sejumlah 51,759,158 dengan persentase 24,85% (update 10 Agustus 2021 jam 12.00) dibandingkan kemarin sejumlah 51,181,322 dengan persentase 24,58% (update 9 Agustus 2021 jam 12.00).
Sedangkan vaksinasi tahap kedua telah dilaksanakan total sejumlah 25,174,788 dengan persentase 12,09% (update 10 Agustus 2021 jam 12.00) dibandingkan kemarin sejumlah 24,481,296 dengan persentase 11,75% (update 9 Agustus 2021 jam 12.00).
Data tersebut diambil dari 34 provinsi. Hingga saat ini seluruh provinsi sudah terdampak Covid-19.
Berikut adalah data COVID-19 di seluruh provinsi pada tanggal 10 Agustus 2021:










