(Vibizmedia – Nasional) Berikut adalah angka akumulatif perkembangan data kasus Covid-19 dari seluruh Indonesia hingga tanggal 28 September 2021
Kasus Positif Baru di Bawah 2.100
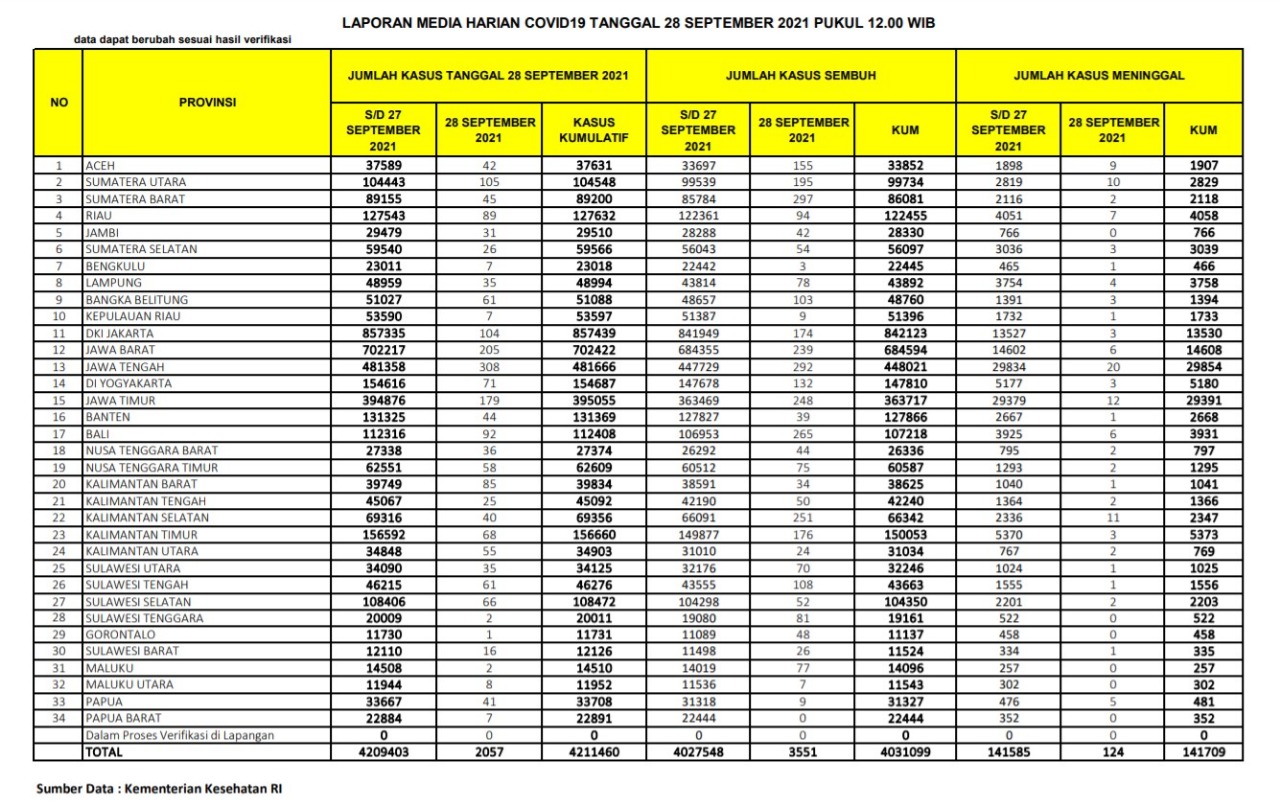
Total kasus positif dilaporkan kemarin sejumlah 4.209.403. Hari ini kasus positif terinfeksi COVID-19 dilaporkan bertambah sebanyak 2.057 kasus. Sehingga total akumulatif menjadi sejumlah 4.211.460 kasus positif. Dengan demikian terjadi kenaikan kasus positif baru dari sejumlah 1.390 kasus kemarin menjadi 2.057 kasus.
Hanya ada 1 provinsi melaporkan kasus di atas 300 kasus (Jawa Tengah) dan 1 provinsi di atas 200 kasus (Jawa Barat).
Sebaran 2.057 kasus baru tanggal 28 Sep 2021:
– Jateng 308
– Jabar 205
– Jatim 179
– Sumut 105
– Jakarta 104
– Bali 92
– Riau 89
– Kalbar 85
– DIY 71
– Kaltim 68
– Sulsel 66
– Babel 61
– Sulteng 61
– NTT 58
– Kaltara 55
– Sumbar 45
– Banten 44
– Aceh 42
– Papua 41
– Kalsel 40
– NTB 36
– Lampung 35
– Sulut 35
– Jambi 31
– Sumsel 26
– Kalteng 25
– Sulbar 16
– Malut 8
– Bengkulu 7
– Kepri 7
– Papbar 7
– Sultra 2
– Maluku 2
– Gorontalo 1
Terdaftar provinsi yang tingkat penambahannya di bawah 10 kasus positif ada 7 provinsi: Maluku Utara, Bengkulu, Kepulauan Riau, Papua Barat, Sulawesi Tenggara, Maluku, Gorontalo.
Daftar provinsi yang tercatat tidak ada penambahan pasien terkonfirmasi positif Covid-19 : Tidak ada.
Persentase Sembuh Terus Meningkat
Jumlah kasus sembuh kemarin adalah 4.027.548 orang dan hari ini dilaporkan bertambah 3.551 orang, sehingga total yang dinyatakan sembuh menjadi sejumlah 4.031.099. Jika kemarin dilaporkan bertambah 3.771 orang, maka hari ini sejumlah 3.551 kasus sembuh.
Dengan demikian persentase jumlah kasus sembuh meningkat menjadi 95,72% dibandingkan kemarin sebesar 95,68%.
Hal ini didapat jika dibandingkan total kasus positif sejumlah 4.211.460.
Angka kesembuhan tertinggi adalah Jawa Tengah (292 kasus), Bali (265 kasus), Jawa Timur (248 kasus), Jawa Barat (239 kasus).
Jumlah Kasus Meninggal Baru Naik
Untuk kasus meninggal, jika kemarin diberitakan ada sejumlah 141.585 orang, maka hari ini bertambah sebanyak 124 orang, sehingga total kasus meninggal menjadi 141.709 orang. Dengan demikian jika kemarin tercatat 118 orang kasus meninggal maka hari ini terjadi kenaikan kasus menjadi sejumlah 124 orang kasus meninggal.
Kasus Aktif Turun di Bawah 39.000
Hari ini dilaporkan kasus aktif turun, kini sudah di bawah 39.000, yaitu turun sejumlah 1.618 menjadi 38.652, dibandingkan kemarin turun sejumlah 2.499 menjadi 40.270. Sejak tanggal 4 Agustus 2021 hingga harı ini kasus aktif terus turun selama 56 harı berturut-turut.
Jumlah kasus suspek sejumlah 381.253 dan 257.768 spesimen dibanding kemarin kasus suspek sejumlah 388.341 dan 214.591 spesimen.
Positivity Rate Harian
Positive rate adalah jumlah hasil pemeriksaan yang dinyatakan positif dibagi keseluruhan jumlah total pemeriksaan. Secara harian maka ada penambahan orang yang ditest sejumlah 257.768 dengan 1,40% positive rate dibandingkan kemarin sejumlah 151.966 dengan 0,91% positive rate.
Progress Harian Vaksinasi COVID-19
Berdasarkan laporan Kemenkes maka total sasaran vaksinasi secara keseluruhan sejumlah 208.265.720, terdiri dari Tenaga Kesehatan, Lanjut Usia, Petugas Publik, Masyarakat Rentan, Masyarakat Umum, Usia 12-17 tahun.
Hingga hari ini vaksinasi tahap pertama telah dilaksanakan total sejumlah 88,531,137 dengan persentase 42,51% (update 28 September 2021 jam 12.00) dibandingkan kemarin sejumlah 87,742,907 dengan persentase 42,13% (update 27 September 2021 jam 18.00).
Sedangkan vaksinasi tahap kedua telah dilaksanakan total sejumlah 49,655,718 dengan persentase 23,84% (update 28 September 2021 jam 12.00) dibandingkan kemarin sejumlah 49,198,111 dengan persentase 23,62% (update 27 September 2021 jam 18.00).
Data tersebut diambil dari 34 provinsi. Hingga saat ini seluruh provinsi sudah terdampak Covid-19.
Berikut adalah data COVID-19 di seluruh provinsi pada tanggal 28 September 2021:










