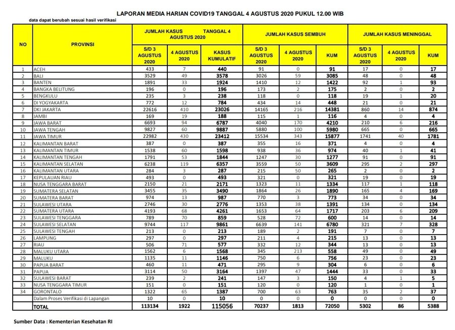
(Vibizmedia – Nasional) Berikut adalah update angka akumulatif jumlah kasus yang telah dinyatakan sembuh total dari Covid-19 dari seluruh Indonesia hingga tanggal 4 Agustus 2020.
Sedangkan jumlah pasien yang dinyatakan sudah sembuh dan diijinkan pulang terus bertambah dan semakin banyak , dari total 70.237 orang yang diberitakan kemarin, bertambah 1.813 orang menjadi 72.050 orang. Maka bagi yang telah dinyatakan sembuh ada kenaikan, jika kemarin bertambah 1.262 orang, hari ini bertambah 1.813 orang.
Angka total 72.050 menunjukkan bahwa jumlah kasus sembuh lebih dari setengah keseluruhan total kasus positif , yaitu sejumlah 62,62 % jika dibandingkan kasus positif akumulatif yang sejumlah 115.056. Suatu jumlah angka yang menggembirakan, naik dibanding kemarin prosentasenya sejumlah 62,08 %.
Beberapa provinsi yang melaporkan cukup banyak kasus yang sembuh yaitu Jawa Timur (343), DKI Jakarta (216), Maluku Utara (213), Jawa Barat (170), Sulawesi Selatan (141), Jawa Tengah (100), Sumatera Utara (64), Gorontalo (63), Sulawesi Tenggara (72), Bali (59), Kalimantan Selatan (50), Kalimantan Utara (50), Papua (47),
Berikut adalah data COVID-19 di seluruh provinsi pada tanggal 4 Agustus 2020:










