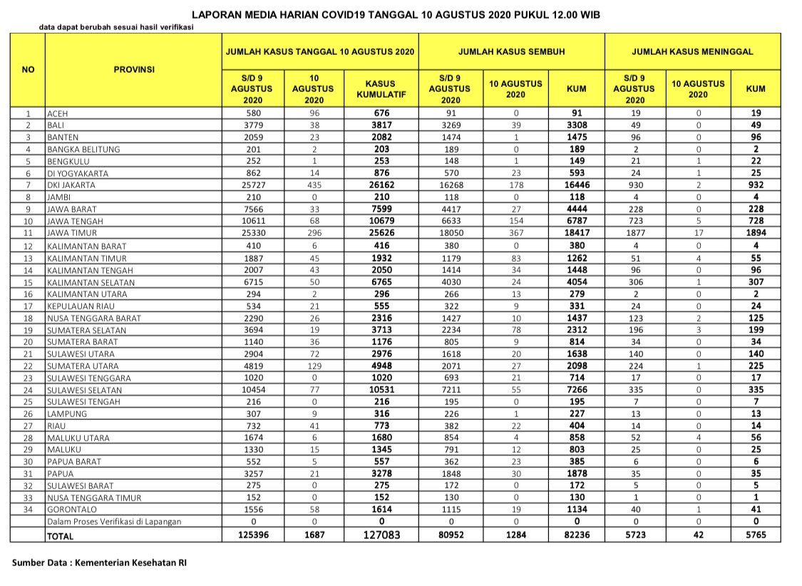
(Vibizmedia – Nasional) Berikut adalah update angka akumulatif jumlah kasus yang telah dinyatakan sembuh total dari Covid-19 dari seluruh Indonesia hingga tanggal 10 Agustus 2020.
Sedangkan jumlah pasien yang dinyatakan sudah sembuh dan diijinkan pulang terus bertambah dan semakin banyak , dari total 80.952 orang yang diberitakan kemarin, bertambah 1.284 orang menjadi 82.236 orang. Maka bagi yang telah dinyatakan sembuh , jika kemarin bertambah 1.646 orang, hari ini bertambah 1.284 orang.
Angka total 82.236 menunjukkan bahwa jumlah kasus sembuh lebih dari setengah keseluruhan total kasus positif , yaitu sejumlah 64,71 % jika dibandingkan kasus positif akumulatif yang sejumlah 127.083. Suatu jumlah angka yang menggembirakan, naik dibanding kemarin prosentasenya sejumlah 64,55 %.
Beberapa provinsi yang melaporkan cukup banyak kasus yang sembuh yaitu Jawa Timur (367), DKI Jakarta (178), Jawa Tengah (154), Kalimantan Timur (83), Sumatera Selatan (78), Sulawesi Selatan (55).
Berikut adalah data COVID-19 di seluruh provinsi pada tanggal 10 Agustus 2020:










