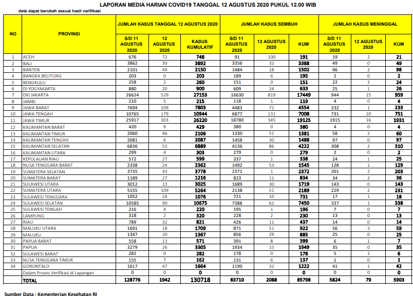
(Vibizmedia – Nasional) Berikut adalah update angka akumulatif jumlah kasus yang telah dinyatakan sembuh total dari Covid-19 dari seluruh Indonesia hingga tanggal 12 Agustus 2020.
Sedangkan jumlah pasien yang dinyatakan sudah sembuh dan diijinkan pulang terus bertambah dan semakin banyak , dari total 83.710 orang yang diberitakan kemarin, bertambah 2.088 orang menjadi 85.798 orang. Maka bagi yang telah dinyatakan sembuh ada kenaikan, jika kemarin bertambah 1.474 orang, hari ini bertambah 2.088 orang.
Angka total 85.798 menunjukkan bahwa jumlah kasus sembuh lebih dari setengah keseluruhan total kasus positif , yaitu sejumlah 65,63 % jika dibandingkan kasus positif akumulatif yang sejumlah 130.718. Suatu jumlah angka yang menggembirakan, naik dibanding kemarin prosentasenya sejumlah 65 %.
Beberapa provinsi yang melaporkan cukup banyak kasus yang sembuh yaitu DKI Jakarta (819), Jawa Timur (345), Jawa Tengah (131), Aceh (100), Kalimantan Selatan (86), Jawa Barat (71), Sulawesi Selatan (62), Nusa Tenggara Barat (53), Kalimantan Timur (51), Sulawesi Utara (51), Maluku Utara (51).
Berikut adalah data COVID-19 di seluruh provinsi pada tanggal 12 Agustus 2020:










