Terus Meningkat Kasus Sembuh COVID-19 di Indonesia 17 September 2020: Persentasenya 71,65 %

0
1647

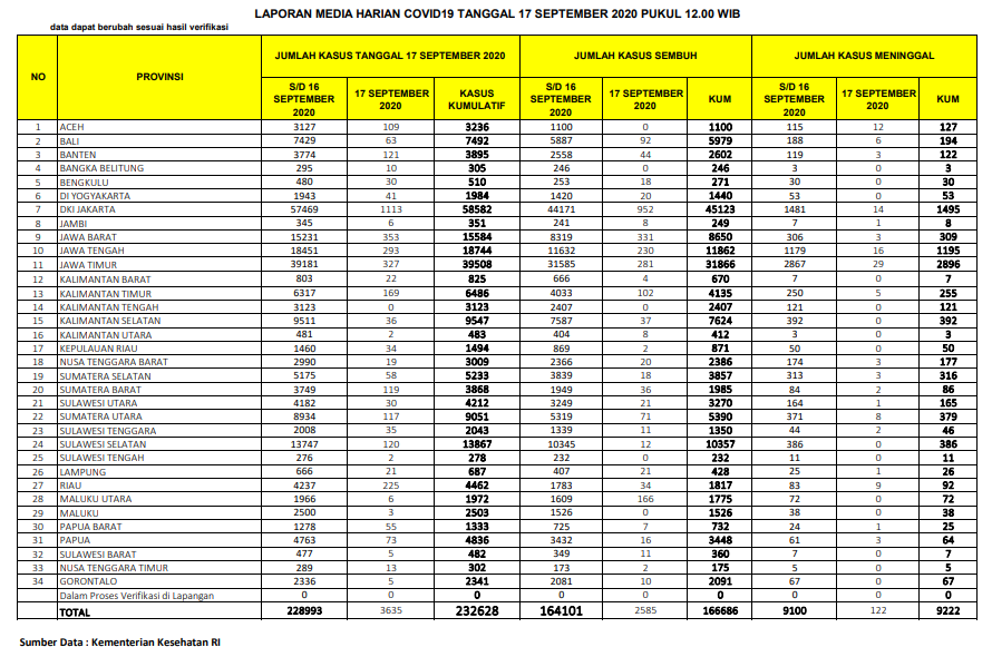
(Vibizmedia – Nasional)  Berikut adalah update angka akumulatif jumlah  kasus yang telah dinyatakan sembuh total dari Covid-19 dari seluruh Indonesia hingga tanggal 17 September 2020.

Sedangkan jumlah pasien yang dinyatakan sudah sembuh dan diijinkan pulang terus bertambah dan semakin banyak , dari total 164.101  orang yang diberitakan kemarin, bertambah 2.585  orang menjadi 166.686 orang. Maka bagi yang telah dinyatakan sembuh, jika kemarin bertambah  3.395  orang, hari ini bertambah  2.585 orang.

Angka total 166.686  menunjukkan bahwa persentase jumlah kasus sembuh semakin meningkat, yaitu  sejumlah 71,65 %  jika dibandingkan kasus positif akumulatif sejumlah 232.628

Beberapa provinsi yang melaporkan cukup banyak kasus yang sembuh yaitu DKI Jakarta (952), Jawa Barat (331),  Jawa Timur (281), Jawa Tengah (230), Maluku Utara (166),   Kalimantan Timur (102),  Bali (92), Banten (44).

Breaking News Covid-19 di Indonesia 17 September 2020: Bertambah 3.635, Total Positif Kini 232.628

Berikut adalah data COVID-19 di seluruh provinsi pada tanggal 17 September 2020:

LEAVE A REPLY

Please enter your comment!
Please enter your name here