Terus Meningkat Kasus Sembuh COVID-19 di Indonesia 30 September 2020: Persentasenya 74,89%

0
933

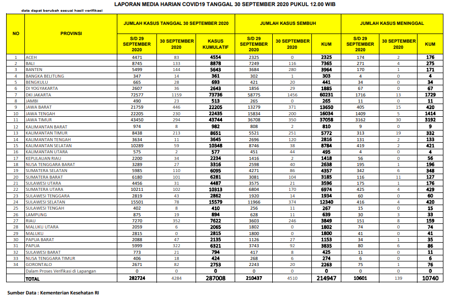
(Vibizmedia – Nasional)  Berikut adalah update angka akumulatif jumlah  kasus yang telah dinyatakan sembuh total dari Covid-19 dari seluruh Indonesia hingga tanggal 30 September 2020.

Sedangkan jumlah pasien yang dinyatakan sudah sembuh dan diijinkan pulang terus bertambah dan semakin banyak , dari total 210.437  orang yang diberitakan kemarin, bertambah 4.510 orang menjadi 214.947 orang. Maka bagi yang telah dinyatakan sembuh, jika kemarin bertambah  3.567   orang, hari ini bertambah  4.510 orang.

Angka total 214.947   menunjukkan bahwa persentase jumlah kasus sembuh semakin meningkat, yaitu  sejumlah 74,89 % jika dibandingkan kasus positif akumulatif sejumlah 287.008.

Beberapa provinsi yang melaporkan cukup banyak kasus yang sembuh yaitu:  DKI Jakarta (1456),  Sulawesi Selatan (374), Jawa Barat (371), Jawa Timur (350), Banten (280), Kalimantan Timur (251), Riau (246), Jawa Tengah (200), Sumatera Utara (170), Kalimantan Tengah (120), Bali (116), Sumatera Barat (104),  Papua (92), Sumatera Selatan (86), Kalimantan Utara (44).

Breaking News Covid-19 di Indonesia 30 September 2020: Bertambah 4.284 Total Positif Kini 287.008

Berikut adalah data COVID-19 di seluruh provinsi pada tanggal 30 September 2020:

LEAVE A REPLY

Please enter your comment!
Please enter your name here