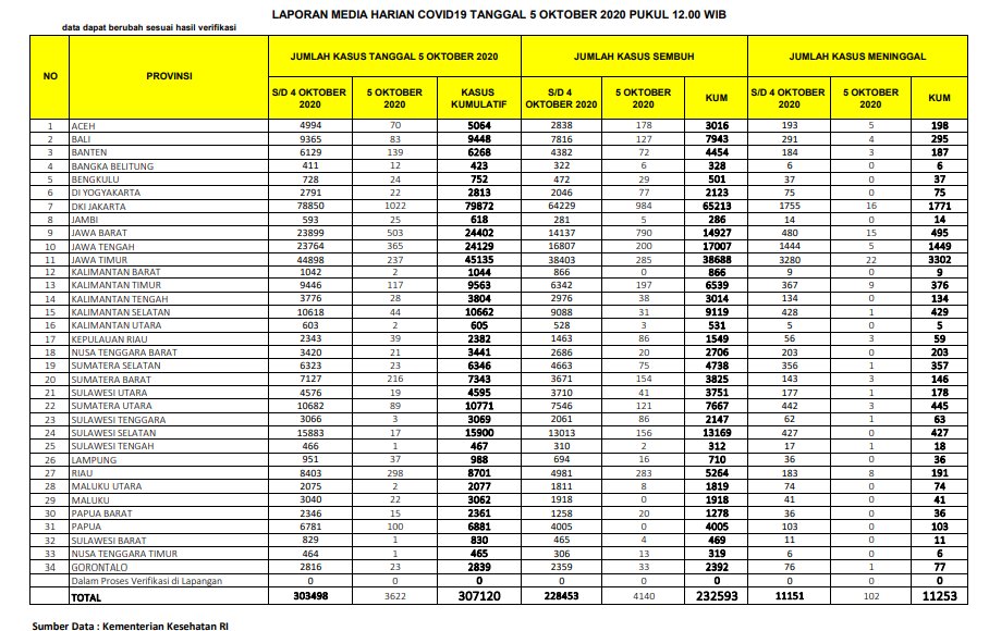
(Vibizmedia – Nasional) Berikut adalah update angka akumulatif jumlah kasus yang telah dinyatakan sembuh total dari Covid-19 dari seluruh Indonesia hingga tanggal 5 Oktober 2020.
Sedangkan jumlah pasien yang dinyatakan sudah sembuh dan diijinkan pulang terus bertambah dan semakin banyak , dari total 228.453 orang yang diberitakan kemarin, bertambah 4.140 orang menjadi 232.593 orang. Maka bagi yang telah dinyatakan sembuh, jika kemarin bertambah 3.401 orang, hari ini bertambah 4.140 orang.
Angka total 232.593 menunjukkan bahwa persentase jumlah kasus sembuh semakin meningkat, yaitu sejumlah 75,73 % jika dibandingkan kasus positif akumulatif sejumlah 307.120.
Beberapa provinsi yang melaporkan cukup banyak kasus yang sembuh yaitu: DKI Jakarta (984), Jawa Barat (790), Riau (283), Jawa Timur (285), Jawa Tengah (200), Kalimantan Timur (197), Aceh (178), Sulawesi Selatan (156), Sumatera Barat (154), Bali (127), Sumatera Utara (121), Kepulauan Riau (86), Sulawesi Tenggara (86), DI Yogyakarta (77).
Breaking News Covid-19 di Indonesia 5 Oktober 2020: Bertambah 3.622 Total Positif Kini 307.120
Berikut adalah data COVID-19 di seluruh provinsi pada tanggal 5 Oktober 2020:










