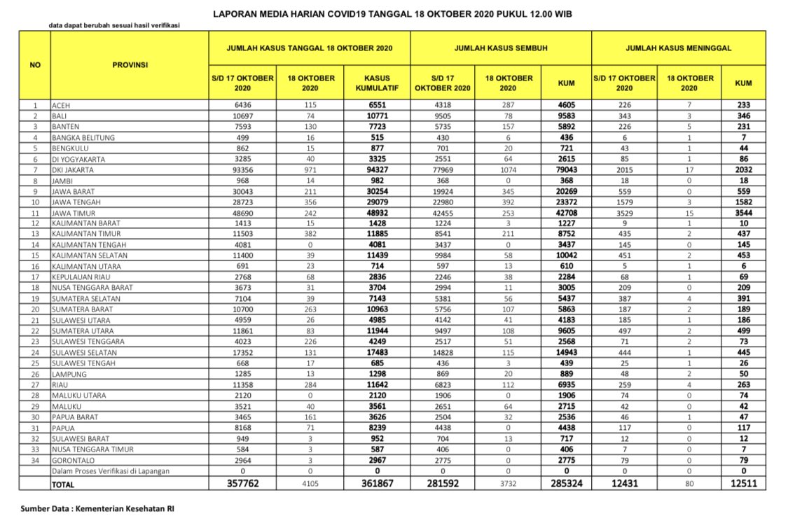
(Vibizmedia – Nasional) Berikut adalah update angka akumulatif jumlah kasus yang telah dinyatakan sembuh total dari Covid-19 dari seluruh Indonesia hingga tanggal 18 Oktober 2020.
Sedangkan jumlah pasien yang dinyatakan sudah sembuh dan diijinkan pulang terus bertambah dan semakin banyak, dari total 281.592 orang yang diberitakan kemarin, bertambah 3.732 orang menjadi 285.324 orang. Maka bagi yang telah dinyatakan sembuh, jika kemarin bertambah 4.048 orang, hari ini bertambah 3.732 orang.
Angka total 285.324 menunjukkan bahwa persentase jumlah kasus sembuh semakin meningkat, yaitu sejumlah 78,84 % jika dibandingkan kasus positif akumulatif sejumlah 361.867.
Beberapa provinsi yang melaporkan cukup banyak kasus yang sembuh yaitu: DKI Jakarta (1074), Jawa Tengah (392),Jawa Barat (345), Aceh (287), Jawa Timur (253), Kalimantan Timur (211), Banten (157), Sulawesi Selatan (115), Riau (112), Sumatera Utara (108), Sumatera Barat (107), Bali (78), Maluku (64), DI Yogyakarta (64), Kalimantan Selatan (58), Sumatera Selatan (56), Sulawesi Tenggara (51).
Breaking News Covid-19 di Indonesia 18 Oktober 2020: Bertambah 4.105 Total Positif Kini 361.867
Berikut adalah data COVID-19 di seluruh provinsi pada tanggal 18 Oktober 2020:










