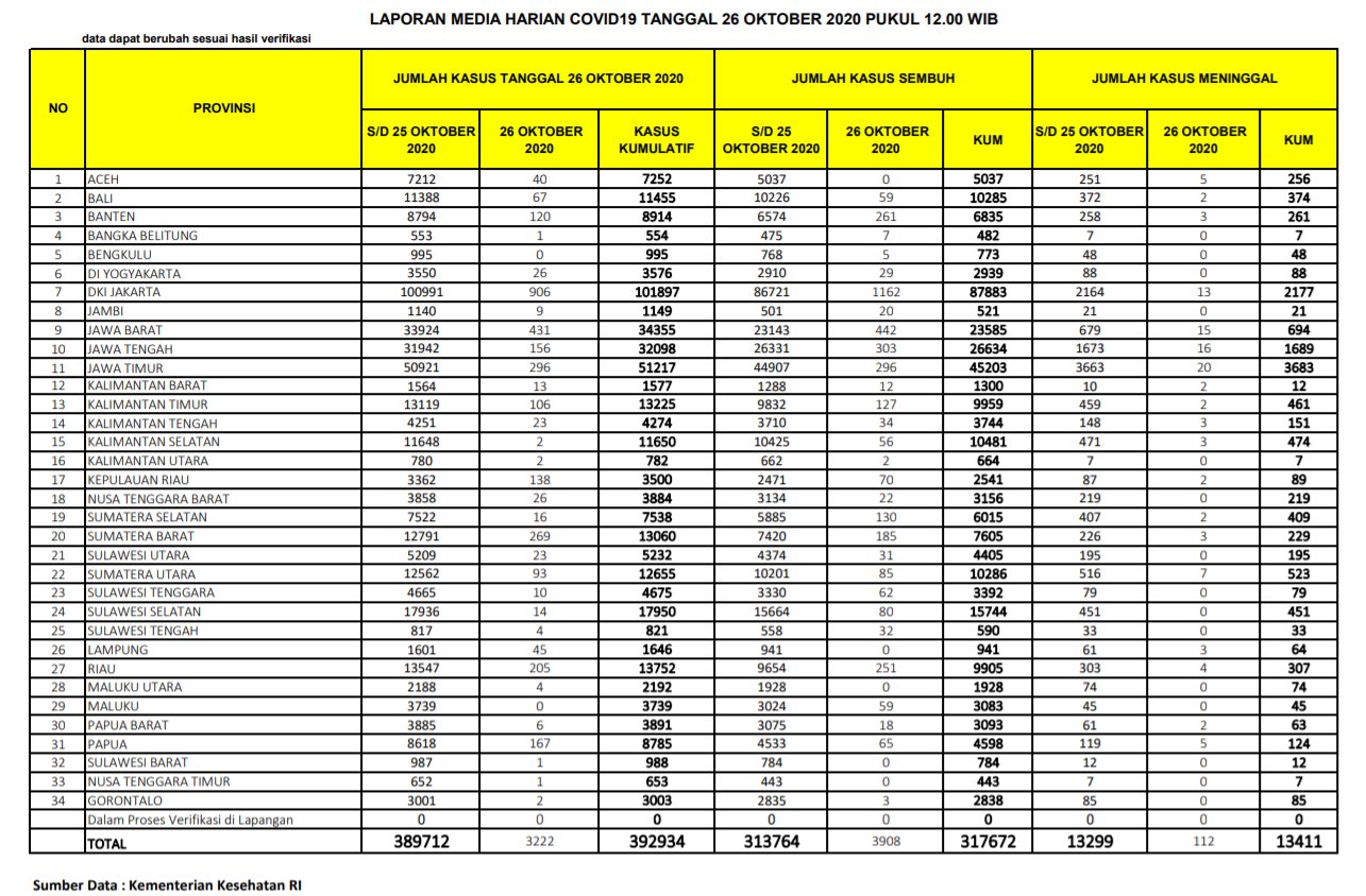
(Vibizmedia – Nasional) Berikut adalah update angka akumulatif jumlah kasus yang telah dinyatakan sembuh total dari Covid-19 dari seluruh Indonesia hingga tanggal 26 Oktober 2020.
Sedangkan jumlah pasien yang dinyatakan sudah sembuh dan diijinkan pulang terus bertambah dan semakin banyak, dari total 313.764 orang yang diberitakan kemarin, bertambah 3.908 orang menjadi 317.672 orang. Maka bagi yang telah dinyatakan sembuh, jika kemarin bertambah 4.545 orang, hari ini bertambah 3.908 orang.
Angka total 317.672 menunjukkan bahwa persentase jumlah kasus sembuh semakin meningkat, yaitu sejumlah 80,84% jika dibandingkan kasus positif akumulatif sejumlah 392.934.
Beberapa provinsi yang melaporkan cukup banyak kasus yang sembuh yaitu: DKI Jakarta (1162), Jawa Barat (442), Jawa Tengah (303), Jawa Timur (296), Banten (261), Riau (251), Sumatera Barat (185), Sumatera Selatan (130), Kalimantan Timur (127), Sumatera Utara (85), Sulawesi Selatan (80), Kepulauan Riau (70), Papua (65), Sulawesi Tenggara (62), Bali (59), Maluku (59), Kalimantan Selatan (56).
Breaking News Covid-19 di Indonesia 26 Oktober 2020: Bertambah 3.222 Total Positif Kini 392.934
Berikut adalah data COVID-19 di seluruh provinsi pada tanggal 26 Oktober 2020:










