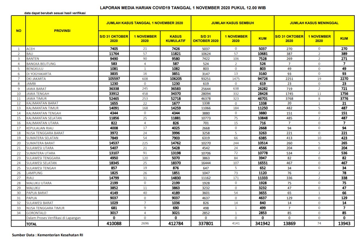
(Vibizmedia – Nasional) Berikut adalah update angka akumulatif jumlah kasus yang telah dinyatakan sembuh total dari Covid-19 dari seluruh Indonesia hingga tanggal 1 November 2020.
Sedangkan jumlah pasien yang dinyatakan sudah sembuh dan diijinkan pulang terus bertambah dan semakin banyak, dari total 337.801 orang yang diberitakan kemarin, bertambah 4.141 orang menjadi 341.942 orang. Maka bagi yang telah dinyatakan sembuh, jika kemarin bertambah 3.506 orang, hari ini bertambah 4.141 orang.
Angka total 341.942 menunjukkan bahwa persentase jumlah kasus sembuh semakin meningkat, yaitu sejumlah 82,83% jika dibandingkan kasus positif akumulatif sejumlah 412.784.
Beberapa provinsi yang melaporkan cukup banyak kasus yang sembuh yaitu: DKI Jakarta (1475), Jawa Barat (638), Jawa Tengah (332), Jawa Timur (323), Sumatera Barat (244), Kalimantan Timur (184), Riau (171), Sulawesi Selatan (107), Banten (106), Sulawesi Tenggara (84), Kalimantan Selatan (75), Lampung (73), Sumatera Utara (72), Sumatera Selatan (66), Bali (57), Papua Barat (54).
Breaking News Covid-19 di Indonesia 1 November 2020: Bertambah 2.696 Total Positif Kini 412.784
Berikut adalah data COVID-19 di seluruh provinsi pada tanggal 1 November 2020:










