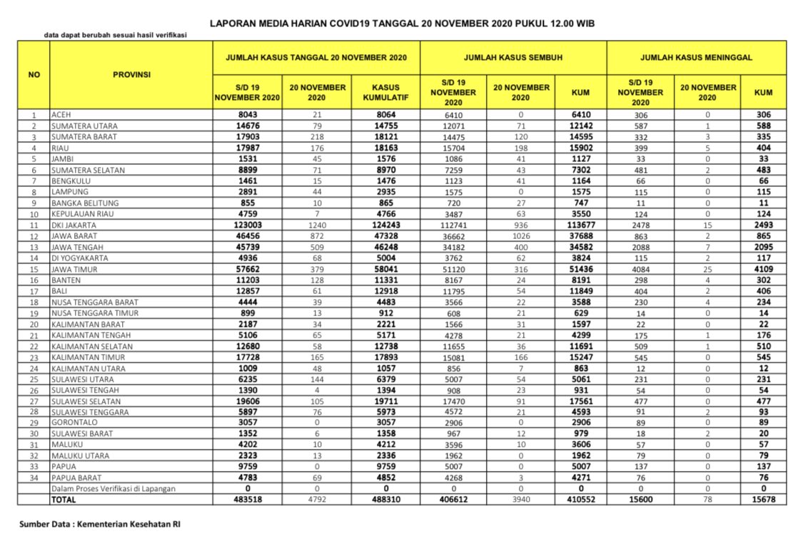
(Vibizmedia – Nasional) Berikut adalah update angka akumulatif jumlah kasus yang telah dinyatakan sembuh total dari Covid-19 dari seluruh Indonesia hingga tanggal 20 November 2020.
Sedangkan jumlah pasien yang dinyatakan sudah sembuh dan diijinkan pulang terus bertambah dan semakin banyak, dari total 406.612 orang yang diberitakan kemarin, bertambah 3.940 orang menjadi 410.552 orang. Maka bagi yang telah dinyatakan sembuh, jika kemarin bertambah 4.265 orang, hari ini bertambah 3.940 orang.
Angka total 410.552 menunjukkan bahwa persentase jumlah kasus sembuh cukup tinggi dan makin meningkat, yaitu sejumlah 84,07% jika dibandingkan kasus positif akumulatif sejumlah 488.310.
Beberapa provinsi yang melaporkan cukup banyak kasus yang sembuh yaitu: Jawa Barat (1026), DKI Jakarta (936), Jawa Tengah (400), Jawa Timur (316), Riau (198), Kalimantan Timur (166), Sumatera Barat (120), Sulawesi Selatan (91), Sumatera Utara (71), Kepulauan Riau (63), DI Yogyakarta (62), Sulawesi Utara (54), Bali (54), Sumatera Selatan (43), Jambi (41), Bengkulu (41).
Breaking News Covid-19 di Indonesia 20 November 2020: Bertambah 4.792 Total Positif 488.310
Berikut adalah data COVID-19 di seluruh provinsi pada tanggal 20 November 2020:










