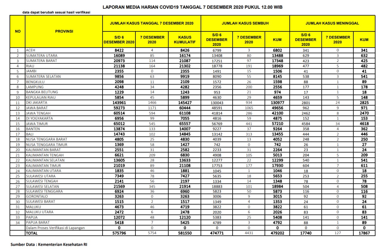
(Vibizmedia – Nasional) Berikut adalah update angka akumulatif jumlah kasus yang telah dinyatakan sembuh total dari Covid-19 dari seluruh Indonesia hingga tanggal 7 Desember 2020.
Jumlah pasien yang dinyatakan sudah sembuh dan diijinkan pulang terus bertambah dan semakin banyak, dari total 474.771 orang yang diberitakan kemarin, bertambah 4.431 orang menjadi 479.202 orang. Maka bagi yang telah dinyatakan sembuh, jika kemarin bertambah 4.271 orang, hari ini bertambah 4.431 orang.
Angka total 479.202 menunjukkan bahwa persentase jumlah kasus sembuh cukup tinggi dan makin meningkat, yaitu sejumlah 82,40% jika dibandingkan kasus positif akumulatif sejumlah 581.550
Beberapa provinsi yang melaporkan cukup banyak kasus yang sembuh yaitu: Jawa Barat (1.065), DKI Jakarta (934), Jawa Timur (441), Bali (313), Jawa Tengah (286), Lampung (200), Riau (191), Kalimantan Timur (177), Kalimantan Tengah (105), Sulawesi Selatan (101), Sumatera Barat (97), Sumatera Utara (80), DI Yogyakarta (59), Sumatera Selatan (55).
Breaking News Covid-19 di Indonesia 7 Desember 2020: Bertambah 5.754 Total Positif 581.550
Berikut adalah data COVID-19 di seluruh provinsi pada tanggal 7 Desember 2020:










