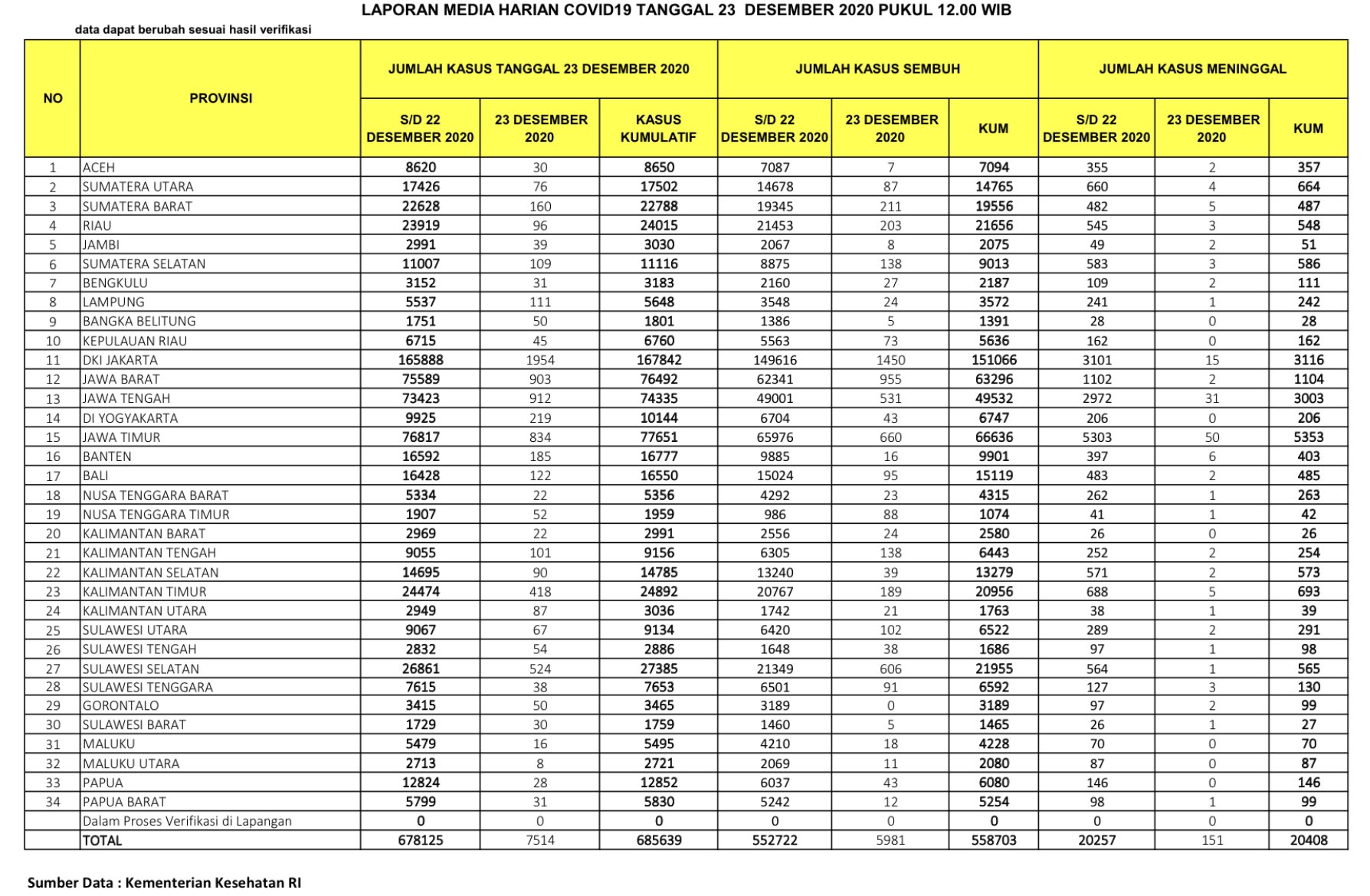
(Vibizmedia – Nasional) Berikut adalah update angka akumulatif jumlah kasus yang telah dinyatakan sembuh total dari Covid-19 dari seluruh Indonesia hingga tanggal 23 Desember 2020.
Jumlah pasien yang dinyatakan sudah sembuh dan diijinkan pulang terus bertambah dan semakin banyak, dari total 552.722 orang yang diberitakan kemarin, bertambah 5.981 orang menjadi 558.703 orang. Maka bagi yang telah dinyatakan sembuh, jika kemarin bertambah 5.838 orang, hari ini bertambah 5.981 orang.
Angka total 558.703 menunjukkan bahwa persentase jumlah kasus sembuh cukup tinggi dan makin meningkat, yaitu sejumlah 81,48% jika dibandingkan kasus positif akumulatif sejumlah 685.639.
Beberapa provinsi yang melaporkan cukup banyak kasus yang sembuh yaitu: DKI Jakarta (1.450), Jawa Barat (955), Jawa Timur (660), Sulawesi Selatan (606), Jawa Tengah (531), Sumatera Barat (211), Riau (203), Kalimantan Timur (189), Kalimantan Tengah (138), Sumatera Selatan (138), Sulawesi Utara (102), Bali (95), Sulawesi Tenggara (91), Sumatera Utara (87), Nusa Tenggara Timur (88), Kepulauan Riau (73), DI Yogyakarta (43), Papua (43).
Breaking News Covid-19 di Indonesia 23 Desember 2020: Bertambah 7.514 Total Positif 678.125
Berikut adalah data COVID-19 di seluruh provinsi pada tanggal 23 Desember 2020:










