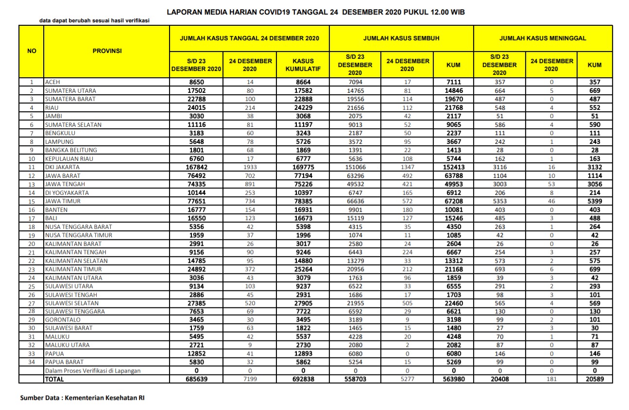
(Vibizmedia – Nasional) Berikut adalah update angka akumulatif jumlah kasus yang telah dinyatakan sembuh total dari Covid-19 dari seluruh Indonesia hingga tanggal 24 Desember 2020.
Jumlah pasien yang dinyatakan sudah sembuh dan diijinkan pulang terus bertambah dan semakin banyak, dari total 558.703 orang yang diberitakan kemarin, bertambah 5.277 orang menjadi 563.980 orang. Maka bagi yang telah dinyatakan sembuh, jika kemarin bertambah 5.981 orang, hari ini bertambah 5.277 orang.
Angka total 563.980 menunjukkan bahwa persentase jumlah kasus sembuh cukup tinggi dan makin meningkat, yaitu sejumlah 81,40% jika dibandingkan kasus positif akumulatif sejumlah 692.838.
Beberapa provinsi yang melaporkan cukup banyak kasus yang sembuh yaitu: DKI Jakarta (1.347), Jawa Timur (572), Sulawesi Selatan (505), Jawa Barat (492), Jawa Tengah (421), Kalimantan Tengah (224), Kalimantan Timur (212), Banten (180), DI Yogyakarta (165), Bali (127), Sumatera Barat (114), Riau (112), Kepulauan Riau (108), Kalimantan Utara (96), Lampung (95), Sulawesi Utara (81), Sumatera Selatan (52), Bengkulu (50), Jambi (42).
Breaking News Covid-19 di Indonesia 24 Desember 2020: Bertambah 7.199 Total Positif 692.838
Berikut adalah data COVID-19 di seluruh provinsi pada tanggal 24 Desember 2020:










