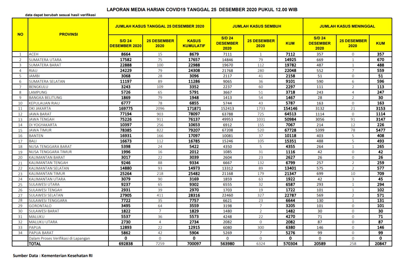
(Vibizmedia – Nasional) Berikut adalah update angka akumulatif jumlah kasus yang telah dinyatakan sembuh total dari Covid-19 dari seluruh Indonesia hingga tanggal 25 Desember 2020.
Jumlah pasien yang dinyatakan sudah sembuh dan diijinkan pulang terus bertambah dan semakin banyak, dari total 563.980 orang yang diberitakan kemarin, bertambah 6.324 orang menjadi 570.304 orang. Maka bagi yang telah dinyatakan sembuh, jika kemarin bertambah 5.277 orang, hari ini bertambah 6.324 orang.
Angka total 570.304 menunjukkan bahwa persentase jumlah kasus sembuh cukup tinggi dan makin meningkat, yaitu sejumlah 81,46% jika dibandingkan kasus positif akumulatif sejumlah 700.097.
Beberapa provinsi yang melaporkan cukup banyak kasus yang sembuh yaitu: DKI Jakarta (1.733), Jawa Tengah (1.031), Jawa Barat (725), Jawa Timur (520), Sulawesi Selatan (327), Papua (300), Riau (280), Kalimantan Timur (179), DI Yogyakarta (155), Kalimantan Tengah (132), Sumatera Barat (112), Bali (105), Kalimantan Selatan (89), Sumatera Utara (79), Kalimantan Utara (63), Bengkulu (60), Bangka Belitung (54), Lampung (51), Kepulauan Riau (43), Jambi (41).
Breaking News Covid-19 di Indonesia 25 Desember 2020: Bertambah 7.259 Total Positif 700.097
Berikut adalah data COVID-19 di seluruh provinsi pada tanggal 25 Desember 2020:










