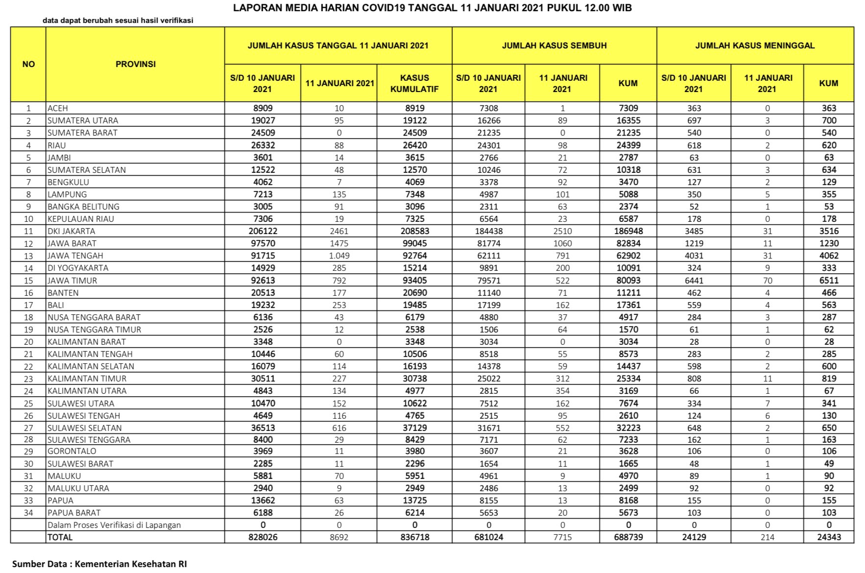
(Vibizmedia – Nasional) Berikut adalah update angka akumulatif jumlah kasus yang telah dinyatakan sembuh total dari Covid-19 dari seluruh Indonesia hingga tanggal 11 Januari 2021.
Jumlah pasien yang dinyatakan sudah sembuh dan diijinkan pulang terus bertambah dan semakin banyak, dari total 681.024 orang yang diberitakan kemarin, bertambah 7.715 orang menjadi 688.739 orang. Maka bagi yang telah dinyatakan sembuh, jika kemarin bertambah 7.513 orang, hari ini bertambah 7.715 orang.
Angka total 688.739 menunjukkan bahwa persentase jumlah kasus sembuh cukup tinggi dan makin meningkat, yaitu sejumlah 82,31% jika dibandingkan kasus positif akumulatif sejumlah 836.718.
Berikut adalah data COVID-19 di seluruh provinsi pada tanggal 11 Januari 2021:
Makin Meningkat Kasus Sembuh COVID-19 di Indonesia 11 Januari 2021: Persentasenya Capai 82,31%









