Kasus Positif DKI Jakarta Tertinggi, COVID-19 di Indonesia 27 Februari 2021

0
620

(Vibizmedia – Nasional) Berikut adalah angka akumulatif perkembangan data kasus Covid-19 dari seluruh Indonesia hingga tanggal 27 Februari 2021.

Penambahan Kasus Positif Menurun

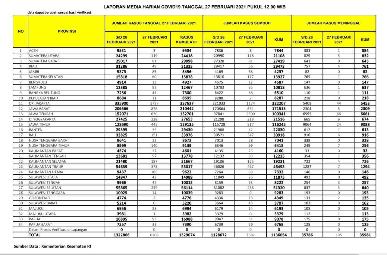
Total kasus positif dilaporkan kemarin sejumlah 1.322.866 kasus. Hari ini kasus positif terinfeksi COVID-19 dilaporkan bertambah sebanyak  6.208 kasus. Sehingga total akumulatif menjadi sejumlah 1.329.074 kasus positif. Dengan demikian telah terjadi penurunan kasus dari sejumlah  8.232  kasus kemarin menjadi  6.208 kasus.

Angka pertambahan  kasus positif tertinggi adalah DKI Jakarta (1.737), Jawa Barat (876), Jawa Tengah (630),  Jawa Timur (445), Kalimantan Timur (378), Sulawesi Selatan (249), DIY (228), Kalimantan Selatan (187), Kalimantan Utara (185), Bali (151), NTT (140).

Jawa Barat sudah menurun drastis hingga di bawah 1000,  sementara DKI Jakarta masih cukup tinggi dengan angka di atas 1000. Sementara provinsi lainnya di  bawah 1000. Setelah Jawa Barat maka diikuti oleh Jawa Tengah, Jawa Timur, Kalimantan Timur, Sulawesi Selatan,  DI Yogyakarta, Kalimantan Selatan, Kalimantan Utara (ada kenaikan cukup tinggi dari yang sebelumnya 12), Bali, Nusa Tenggara Timur.

Berikut rincian kasus positif per provinsi per tanggal 27 Februari 2021:

– Jakarta 1.737

– Jabar 876

– Jateng 630

– Jatim 445

– Kaltim 378

– Sulsel 249

– DIY 228

– Kalsel 187

– Kaltara 185

– Bali 151

– NTT 140

– Sumut 119

– Kalteng 97

– Papua 93

– Jambi 83

– Lampung 82

– Sumbar 81

– Sumsel 60

– Riau 49

– Sulteng 47

– Babel 44

– Sulut 42

– Banten 35

– Papbar 33

– NTB 32

– Maluku 28

– Kalbar 27

– Sultra 14

– Bengkulu 13

– Kepri 11

– Sulbar 6

– Aceh 3

– Gorontalo 2

– Malut 1

Terdaftar provinsi yang tingkat penambahannya di bawah 10 kasus positif ada 4 provinsi : Sulawesi Barat, Aceh, Gorontalo, Maluku Utara.

Daftar provinsi yang tercatat  tidak ada penambahan pasien terkonfirmasi positif Covid-19: TIDAK ADA

Persentase Sembuh Meningkat

Jumlah kasus sembuh kemarin adalah 1.128.672 orang dan hari ini dilaporkan bertambah  7.382 orang, sehingga total yang dinyatakan sembuh menjadi sejumlah 1.136.054. Jika kemarin dilaporkan bertambah  7.261 orang, maka hari ini   meningkat menjadi sejumlah 7.382 kasus sembuh.

Selain itu, persentase jumlah kasus sembuh cukup tinggi yaitu sejumlah 85,47% . Meningkat dibandingkan kemarin sebesar 85,32%. Hal ini didapat jika dibandingkan total kasus positif sejumlah  1.329.074.

Angka kesembuhan tertinggi adalah  Jawa Tengah (2.500), DKI Jakarta (1.174),    Jawa Barat (651),  Jawa Timur (517), Kalimantan Timur (467), Bali (347),  Sulawesi Selatan (238).

Kasus Meninggal Menurun

Untuk kasus meninggal, jika kemarin diberitakan ada sejumlah 35.786 orang, maka hari ini bertambah sebanyak 195 orang, sehingga total kasus meninggal menjadi 35.981 orang. Dengan demikian telah terjadi penurunan, jika kemarin tercatat 268 orang kasus meninggal maka hari ini tercatat  195 orang.

Kasus Aktif Menurun

Hari ini pada  tanggal 27 Februari  2021 kasus aktif menjadi sebesar 157.039 (berkurang 1.369) Sedangkan kemarin  kasus aktif sebesar 158.408 (bertambah 703).

Jumlah kasus suspek sejumlah 78.746, dibandingkan kemarin sejumlah 75.822 suspek. Selain itu ada 55.495 spesimen dibandingkan kemarin sejumlah   63.872 spesimen .

Akumulasi data tersebut diambil dari hasil uji spesimen sebanyak  10.763.757 spesimen yang dilakukan menggunakan metode Polymerase Chain Reaction (PCR) dan TCM (Test Cepat Molekuler) dari sejumlah  7.173.023 orang yang ditest.

Positivity Rate Menurun

Positive rate adalah jumlah hasil pemeriksaan yang dinyatakan positif dibagi keseluruhan jumlah total pemeriksaan.  Secara harian maka ada penambahan orang yang ditest sejumlah 31.394 dengan  19,77%  positive rate.  Dibandingkan kemarin sejumlah 39.766 dengan 20,7% positive rate.

Rata-rata Harian dalam 7 Hari Terakhir

Sementara  itu rata-rata harian dalam 7 hari terakhir adalah sebagai berikut: Jumlah spesimen 59.536, dibanding kemarin sejumlah 61.534.  Sedangkan jumlah orang yang diperiksa  43.116 dibanding kemarin sejumlah 43.227 . Selain itu kasus positif sejumlah 8.246 (tingkat positivitas 19,12%) dibanding kemarin sejumlah  8.510 (tingkat positivitas 19,69%).  Positive rate keseluruhan  sebesar  18,53% (1.329.074 kasus / 7.173.023 orang yang diperiksa), dibanding kemarin sebesar   18,52% (1.322.866 kasus / 7.141.629  orang  yang diperiksa).

Progress Harian Vaksinasi COVID-19

Berdasarkan laporan Kemenkes pada tanggal 27 Februari 2021 maka total sasaran vaksinasi secara keseluruhan adalah sejumlah 181.554.465.

Sedangkan jumlah sasaran vaksinasi COVID-19 untuk Tenaga Kesehatan sejumlah  1.468.764.

Hingga hari ini vaksinasi tahap pertama telah dilaksanakan sejumlah 1.616.615 (bertambah 32.584) dibandingkan kemarin sejumlah 1.583.581 (bertambah 121.661). 

Sedangkan vaksinasi tahap kedua telah dilaksanakan sejumlah 982.370 (bertambah 116.500)  dibandingkan kemarin sejumlah 865.870 (bertambah 12.125).   .

Data tersebut diambil dari 34 provinsi.  Hingga saat ini seluruh provinsi sudah terdampak Covid-19.

Berikut adalah data COVID-19 di seluruh provinsi pada tanggal 27 Februari 2021:

LEAVE A REPLY

Please enter your comment!
Please enter your name here