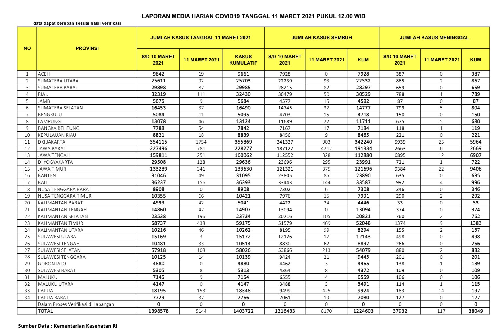
(Vibizmedia – Nasional) Berikut adalah angka akumulatif perkembangan data kasus Covid-19 dari seluruh Indonesia hingga tanggal 11 Maret 2021.
Penambahan Kasus Positif Menurun Selama 3 Hari
Total kasus positif dilaporkan kemarin sejumlah 1.398.578 kasus. Hari ini kasus positif terinfeksi COVID-19 dilaporkan bertambah sebanyak 5.144 kasus. Sehingga total akumulatif menjadi sejumlah 1.403.722 kasus positif. Dengan demikian telah terjadi penurunan kasus dari sejumlah 5.633 kasus kemarin menjadi 5.144 kasus. Dengan demikian 3 hari berturut-turut penambahan kasus positif menurun.
Angka pertambahan kasus positif tertinggi adalah DKI Jakarta (1.754), Jawa Barat (781), Kalimantan Timur ( 438), Jawa Timur (341), Jawa Tengah ( 251), Kalimantan Selatan (196), Bali (156), Papua (153), DI Yogyakarta (128), Riau (111), Sulawesi Selatan (108).
Penambahan kasus positif tertinggi adalah DKI Jakarta, dan satu-satunya provinsi yang penambahannya melewati angka 1000. Sementara provinsi lainnya di bawah 1000. Setelah DKI Jakarta diikuti oleh Jawa Barat, Kalimantan Timur, Jawa Timur, Jawa Tengah, Kalimantan Selatan, Bali, Papua, DI Yogyakarta, Riau, Sulawesi Selatan.
Berikut rincian kasus positif per provinsi per tanggal 11 Maret 2021:
– DKI Jakarta 1.754
– Jabar 781
– Kaltim 438
– Jatim 341
– Jateng 251
– Kalsel 196
– Bali 156
– Papua 153
– DIY 128
– Riau 111
– Sulsel 108
– Sumut 92
– Sumbar 87
– NTT 66
– Babel 54
– Banten 49
– Kalteng 47
– Lampung 46
– Kaltara 46
– Kalbar 42
– Sumsel 37
– Papbar 37
– Sulteng 33
-Aceh 19
– Kepri 18
– Sultra 14
– Bengkulu 11
– Jambi 9
– Maluku 9
-Sulbar 8
– Sulut 3
Terdaftar provinsi yang tingkat penambahannya di bawah 10 kasus positif ada 7 provinsi : Jambi, Maluku, Sulawesi Barat, Sulawesi Utara, Gorontalo, Maluku Utara, Nusa Tenggara Barat.
Daftar provinsi yang tercatat tidak ada penambahan pasien terkonfirmasi positif Covid-19 ada 3 provinsi : Gorontalo, Maluku Utara, Nusa Tenggara Barat
Kasus Sembuh dan Persentase Sembuh Meningkat
Jumlah kasus sembuh kemarin adalah 1.216.4337 orang dan hari ini dilaporkan bertambah 8.170 orang, sehingga total yang dinyatakan sembuh menjadi sejumlah 1.224.603. Jika kemarin dilaporkan bertambah 5.556 orang, maka hari ini meningkat menjadi sejumlah 8.170 kasus sembuh.
Selain itu persentase jumlah kasus sembuh cukup tinggi yaitu sejumlah 87,24%. Meningkat dibandingkan kemarin sebesar 86,98%. Hal ini didapat jika dibandingkan total kasus positif sejumlah 1.403.722.
Angka kesembuhan tertinggi adalah Jawa Barat (4.212), DKI Jakarta (903), Kalimantan Timur (469), Papua (425), Jawa Timur (375), Jawa Tengah (328), DI Yogyakarta (295), Sulawesi Selatan (213), Bali (144), Kalimantan Selatan (105).
Kasus Meninggal Menurun Selama 3 Hari
Untuk kasus meninggal, jika kemarin diberitakan ada sejumlah 37.932 orang, maka hari ini bertambah sebanyak 117 orang, sehingga total kasus meninggal menjadi 38.049 orang. Dengan demikian telah terjadi penurunan, jika kemarin tercatat 175 orang kasus meninggal maka hari ini tercatat 117 orang. Dengan demikian 3 hari berturut-turut penambahan kasus kematian menurun.
Kasus Aktif Menurun 4 Hari Berturut-turut
Hari ini tanggal 11 Maret 2021 kasus aktif menjadi sebesar 141.070 (turun sebesar 3.143).
Sementara kemarin tanggal 10 Maret 2021 kasus aktif sebesar 144.213 (turun sebesar 98). Sedangkan tanggal 9 Maret 2021 kasus aktif sebesar 144.315 (turun sebesar 1.313), dan 8 Maret 2021 kasus aktif sebesar 145.628 (turun sebesar 2.112). Dalam 4 harı berturut-turut kasus aktif menurun.
Jumlah kasus suspek sejumlah 61.523 dibandingkan kemarin sejumlah 63.1280 suspek. Selain itu ada 65.736 spesimen dibandingkan kemarin sejumlah 93.016 spesimen .
Progress Harian Vaksinasi COVID-19
Berdasarkan laporan Kemenkes pada tanggal 11 Maret 2021 maka total sasaran vaksinasi secara keseluruhan adalah sejumlah 181.554.465.
Target sasaran vaksinasi saat ini sejumlah 40.349.051. Terdiri dari SDM Kesehatan sejumlah 1.468.764, Petugas Publik sejumlah 17.327.169 dan Lansia sejumlah 21.553.118.
Hingga hari ini vaksinasi tahap pertama telah dilaksanakan total sejumlah 3.696.059 (bertambah 121.361) dengan persentase 9,16%. Dibandingkan kemarin sejumlah 3.574.698 (bertambah 237.672) dengan persentase 8,86%.
Sedangkan vaksinasi tahap kedua telah dilaksanakan total sejumlah 1.295.615 (bertambah 32.737) dengan persentase 3,21%. Dibandingkan kemarin sejumlah 1.262.878 (bertambah 65.106) dengan persentase 3,13%.
Data tersebut diambil dari 34 provinsi. Hingga saat ini seluruh provinsi sudah terdampak Covid-19.
Berikut adalah data COVID-19 di seluruh provinsi pada tanggal 11 Maret 2021:









