(Vibizmedia – Nasional) Berikut adalah angka akumulatif perkembangan data kasus Covid-19 dari seluruh Indonesia hingga tanggal 26 Maret 2021.
Penambahan Kasus Positif Menurun
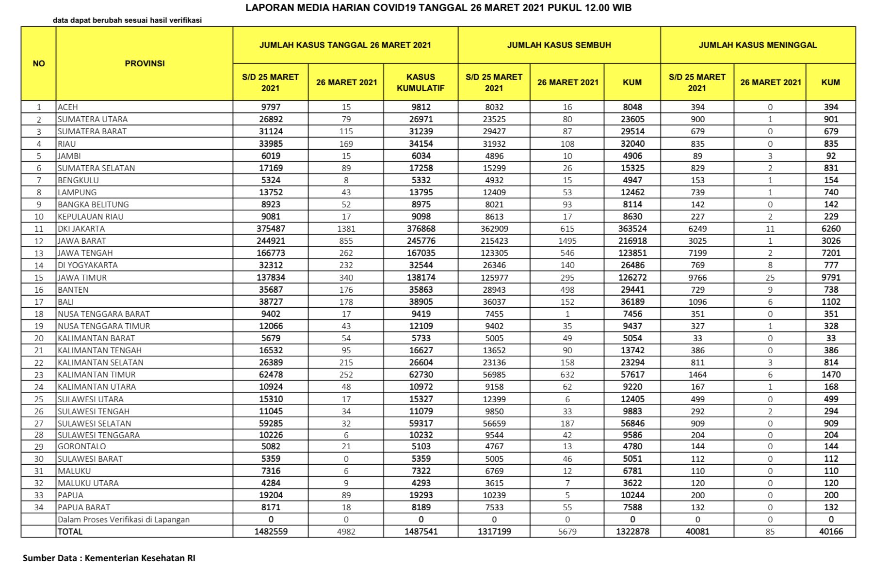
Total kasus positif dilaporkan kemarin sejumlah 1.482.559 kasus. Hari ini kasus positif terinfeksi COVID-19 dilaporkan bertambah sebanyak 4.982 kasus. Sehingga total akumulatif menjadi sejumlah 1.487.541 kasus positif. Dengan demikian telah terjadi penurunan kasus dari sejumlah 6.107, kasus kemarin menjadi 4.982 kasus.
Penambahan kasus positif tertinggi adalah DKI Jakarta (1.381), satu-satunya provinsi dengan penambahan di atas 1000. Diikuti dengan Jawa Barat (855), Jawa Tengah (262), Jawa Timur (340), Kalimantan Timur (252), DIY (232), Kalimantan Selatan (215), Bali (178), Banten (176), Riau (169), Sumatera Barat (115).
Berikut rincian kasus positif per provinsi per tanggal 26 Maret 2021:
– DKI Jakarta 1.381
– Jabar 855
– Jateng 262
– Jatim 340
– Kaltim 252
– DIY 232
– Kalsel 215
– Bali 178
– Banten 176
– Riau 169
– Sumbar 115
– Kalteng 95
– Sumsel 89
– Papua 89
– Sumut 79
– Kalbar 54
– Babel 52
– Kaltara 48
– Lampung 43
– NTT 43
– Sulteng 34
– Sulsel 32
– Gorontalo 21
– Papbar 18
– Kepri 17
– NTB 17
– Sulut 17
– Aceh 15
– Jambi 15
– Malut 9
– Bengkulu 8
– Sultra 6
– Maluku 6
Terdaftar provinsi yang tingkat penambahannya di bawah 10 kasus positif ada 5 provinsi : Maluku Utara, Bengkulu, Sulawesi Tenggara, Maluku, Sulawesi Barat
Daftar provinsi yang tercatat tidak ada penambahan pasien terkonfirmasi positif Covid-19 ada 1 provinsi : Sulawesi Barat
Kasus Sembuh dan Persentase Sembuh Meningkat
Jumlah kasus sembuh kemarin adalah 1.317.199 orang dan hari ini dilaporkan bertambah 5.679 orang, sehingga total yang dinyatakan sembuh menjadi sejumlah 1.322.878. Jika kemarin dilaporkan bertambah 4.656 orang, maka hari ini meningkat menjadi sejumlah 5.679 kasus sembuh.
Selain itu persentase jumlah kasus sembuh cukup tinggi yaitu sejumlah 88,93%, meningkat diibandingkan kemarin sebesar 88,85%. Hal ini didapat jika dibandingkan total kasus positif sejumlah 1.487.541
Angka kesembuhan tertinggi adalah Jawa Barat (1.495), Kalimantan Timur (632), DKI Jakarta (615), Jawa Tengah (546), Banten (498), Jawa Timur (283), Kalimantan Selatan (158), Bali (152), DI Yogyakarta (140), Riau (108)
Kasus Meninggal Menurun
Untuk kasus meninggal, jika kemarin diberitakan ada sejumlah 40.081 orang, maka hari ini bertambah sebanyak 85 orang, sehingga total kasus meninggal menjadi 40.166 orang. Dengan demikian telah terjadi penurunan, jika kemarin tercatat 98 orang kasus meninggal maka hari ini tercatat 85 orang. Dalam 3 harı berturut-turut kasus kematian menurun.
Kasus Aktif Menurun
Kasus aktif pada tanggal 26 Maret 2021 adalah sejumlah 124.497 (turun sebesar 782).
Sedangkan pada tanggal 25 Maret 2021 sejumlah 125.279 (bertambah sebesar 1.353).
Sebelumnya terjadi penurunan kasus aktif selama 5 harı, pada tanggal 24 Maret 2021 sejumlah 123.926 (turun sebesar 2.513). Juga pada tanggal 23 Maret sejumlah 126.439 (turun sebesar 1.811), pada tanggal 22 Maret sejumlah 128.250 (turun sebesar 1.594), pada tanggal 21 Maret sejumlah 129.844 (turun sebesar 1.772) dan tanggal 20 Maret 2021 kasus aktif sebesar 131.616 (turun sebesar 212).
Jumlah kasus suspek sejumlah 52.528 dibandingkan kemarin sejumlah 48.914 suspek. Selain itu ada 71.559 spesimen dibandingkan kemarin sejumlah 81.091 spesimen .
Akumulasi data tersebut diambil dari hasil uji spesimen sebanyak 12.401.797 spesimen yang dilakukan menggunakan metode Polymerase Chain Reaction (PCR) dan TCM (Test Cepat Molekuler) dari sejumlah 8.281.302 orang yang ditest.
Positivity Rate Harian Menurun
Positive rate adalah jumlah hasil pemeriksaan yang dinyatakan positif dibagi keseluruhan jumlah total pemeriksaan. Secara harian maka ada penambahan orang yang ditest sejumlah 51.619 dengan 9,65% positive rate, dibandingkan kemarin sejumlah 53.162 dengan 11,49% positive rate.
Progress Harian Vaksinasi COVID-19
Berdasarkan laporan Kemenkes maka total sasaran vaksinasi secara keseluruhan adalah sejumlah 181.554.465.
Target sasaran vaksinasi saat ini sejumlah 40.349.051. Terdiri dari SDM Kesehatan sejumlah 1.468.764, Petugas Publik sejumlah 17.327.169 dan Lansia sejumlah 21.553.118.
Hingga hari ini vaksinasi tahap pertama telah dilaksanakan total sejumlah 6.730.456 (bertambah 579.364) dengan persentase 16,68%. Dibandingkan kemarin sejumlah 6.389.837 (bertambah 411.586) dengan persentase 15,84.%..
Sedangkan vaksinasi tahap kedua telah dilaksanakan total sejumlah 3.015.190 (bertambah 74.174) dengan persentase 7,47%. Dibandingkan kemarin sejumlah 2.941.016 (bertambah 231.471) dengan persentase 7,29%.
Data tersebut diambil dari 34 provinsi. Hingga saat ini seluruh provinsi sudah terdampak Covid-19.
Berikut adalah data COVID-19 di seluruh provinsi pada tanggal 26 Maret 2021:
 
             
		




 
                             
                            




