Kasus Positif Baru Turun, Kini di Atas 34.000, Hanya 6 Provinsi Dengan Kasus Baru di Atas 1,000, Update COVID-19 Indonesia 19 Juli 2021

0
533

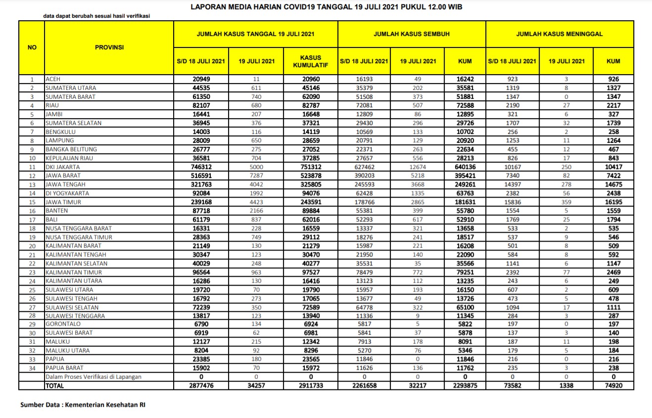
(Vibizmedia – Nasional) Berikut adalah angka akumulatif perkembangan data kasus Covid-19 dari seluruh Indonesia hingga tanggal 19 Juli 2021.

Penambahan Kasus Positif Baru Menurun Kembali

Total kasus positif dilaporkan kemarin sejumlah 2.877.476 . Hari ini kasus positif terinfeksi COVID-19 dilaporkan bertambah sebanyak 34.257 kasus. Sehingga total akumulatif menjadi sejumlah 2.911.733 kasus positif. Telah terjadi penurunan kasus dari sejumlah 44.721 kasus kemarin menjadi 34.257 kasus. Dengan demikian dalam 4 harı telah terjadi penurunan kasus.

Hari ini Jawa Barat melaporkan penurunan kasus positif baru menjadi 7.287 dibandingkan kemarin sebesar 7.777. DKI Jakarta melaporkan penurunan kasus positif baru menjadi 5.000 dibandingkan kemarin sebesar 9.128. Jawa Timur melaporkan penurunan kasus positif baru menjadi 4.423 dibanding kemarin sebesar 5.726. Jawa Tengah melaporkan penurunan kasus positif baru menjadi 4.042 dibandingkan kemarin sebesar 4.699. Banten melaporkan penurunan kasus baru sebesar 2.166 dibanding kemarin sejumlah 3.139. DI Yogyakarta juga melaporkan penurunan kasus positif baru menjadi 1.992 dibanding kemarin sebesar 2.119.

Selebihnya melaporkan kasus positif baru di bawah 1.000, dengan jumlah di atas 300 kasus adalah Kalimantan Timur (963), Bali (837), NTT (749), Sumatera Barat (740), Kepulauan Riau (704), Riau (680), Lampung (650), Sumatera Utara (611), Sumatera Selatan (376), Sulawesi Selatan (350).

Sebaran 34.257 kasus baru pada tanggal 19 Juli 2021 adalah sebagai berikut:

– Jabar 7.287
– Jakarta 5.000
– Jatim 4.423
– Jateng 4.042
– Banten 2.166
– DIY 1.992
– Kaltim 963
– Bali 837
– NTT 749
– Sumbar 740
– Kepri 704
– Riau 680
– Lampung 650
– Sumut 611
– Sumsel 376
– Sulsel 350
– Babel 275
– Sulteng 273
– Kalsel 248
– NTB 228
– Maluku 215
– Jambi 207
– Papua 180
– Gorontalo 134
– Kalbar 130
– Kaltara 130
– Kalteng 123
– Sultra 123
– Bengkulu 116
– Malut 92
– Sulut 70
– Papbar 70
– Sulbar 62
– Aceh 11

Terdaftar provinsi yang tingkat penambahannya di bawah 10 kasus positif : TIDAK ADA

Daftar provinsi yang tercatat tidak ada penambahan pasien terkonfirmasi positif Covid-19 : TIDAK ADA
.

Kasus Sembuh Meningkat

Jumlah kasus sembuh kemarin adalah 2.261.658 orang dan hari ini dilaporkan bertambah 32.217 orang, sehingga total yang dinyatakan sembuh menjadi sejumlah 2.293.875. Jika kemarin dilaporkan bertambah 29.264 orang, maka hari ini meningkat menjadi sejumlah 32.217 kasus sembuh.

Selain itu persentase jumlah kasus sembuh meningkat sejumlah 78,78%.

Hal ini didapat jika dibandingkan total kasus positif sejumlah 2.911.733

Angka kesembuhan tertinggi adalah DKI Jakarta (12.674), Jawa Barat (5.218), Jawa Tengah (3.668), Jawa Timur (2.865), DI Yogyakarta (1.335), Kalimantan Timur (772), Bali (617), Kepulauan Riau (556), Riau (507), Banten (399), Sumatera Barat (373), Sulawesi Selatan (322), NTB (321), Sumatera Selatan (296), Bangka Belitung (263), NTT (241), Kalimantan Barat (221), Sulawesi Utara (193), Maluku (178), Kalimantan Tengah (140), Bengkulu (133), Kalimantan Utara (112).

Jumlah Kasus Meninggal Baru Meningkat

Untuk kasus meninggal, jika kemarin diberitakan ada sejumlah 73.582 orang, maka hari ini bertambah sebanyak 1.338 orang, sehingga total kasus meninggal menjadi 74.920 orang. Dengan demikian jika kemarin tercatat 1.093 orang kasus meninggal maka hari ini terjadi kenaikan kasus menjadi sejumlah 1.338 orang kasus meninggal.

Penambahan Kasus Aktif Turun

Hari ini dilaporkan kasus aktif naik sejumlah 702 menjadi sejumlah 542.938, dibandingkan kemarin naik sebesar 14.364 menjadi sejumlah 542.236. Kembali ada penurunan pada penambahan kasus aktif.

Jumlah kasus suspek sejumlah 269.455 dan ada 160.686 spesimen, dibandingkan kemarin kasus suspek sejumlah 253.785 dan ada 192.918 spesimen.

Positivity Rate Harian Menurun

Positive rate adalah jumlah hasil pemeriksaan yang dinyatakan positif dibagi keseluruhan jumlah total pemeriksaan. Secara harian maka ada penambahan orang yang ditest sejumlah 127.461 dengan 26,88% positive rate dibandingkan kemarin sejumlah 138.046 dengan 32,40% positive rate.

Progress Harian Vaksinasi COVID-19

Berdasarkan laporan Kemenkes maka total sasaran vaksinasi secara keseluruhan sejumlah 208.265.720, terdiri dari Tenaga Kesehatan, Lanjut Usia, Petugas Publik, Masyarakat Rentan, Masyarakat Umum, Usia 12-17 tahun).

Hingga hari ini vaksinasi tahap pertama telah dilaksanakan total sejumlah 42,095,531 dengan persentase 20,21% (update 19 Juli 2021 jam 12.00) dibandingkan kemarin sejumlah 41,673,464 dengan persentase 20,01% (update 18 Juli 2021 jam 12.00)

Sedangkan vaksinasi tahap kedua telah dilaksanakan total sejumlah 16,400,351 dengan persentase 7,87% (update 19 Juli 2021 jam 12.00) dibandingkan kemarin sejumlah 16,274,150 dengan persentase 7,81% (update 18 Juli 2021 jam 12.00)

Data tersebut diambil dari 34 provinsi. Hingga saat ini seluruh provinsi sudah terdampak Covid-19.

Berikut adalah data COVID-19 di seluruh provinsi pada tanggal 19 Juli 2021:

 

LEAVE A REPLY

Please enter your comment!
Please enter your name here