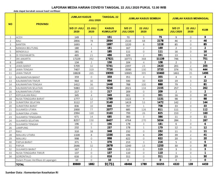
Vibizmedia – Nasional) Berikut adalah update angka akumulatif jumlah kasus yang telah dinyatakan sembuh total dari Covid-19 dari seluruh Indonesia hingga tanggal 22 Juli 2020.
Sedangkan jumlah pasien yang dinyatakan sudah sembuh dan diijinkan pulang terus bertambah dan semakin banyak , dari total 48.466 orang yang diberitakan kemarin, bertambah 1.795. orang menjadi 50.255 orang. Maka bagi yang telah dinyatakan sembuh ada kenaikan, jika kemarin bertambah 1.489 orang, hari ini bertambah 1.795. orang.
Angka total 50.255 menunjukkan bahwa jumlah kasus sembuh lebih dari setengah keseluruhan total kasus positif , yaitu sejumlah 54,77 % jika dibandingkan kasus positif akumulatif yang sejumlah 91.751. Suatu jumlah angka yang menggembirakan, naik dibanding kemarin sejumlah 53,92%.
Beberapa provinsi yang melaporkan cukup banyak kasus yang sembuh yaitu Jawa Timur (395), DKI Jakarta (368), Sulawesi Selatan (270), Kalimantan Selatan (134), Jawa Tengah (130), Sulawesi Utara (126), Bali (52 kasus), Jawa Barat (32 kasus), Kalimantan Tengah (100), Bali (68).
Berikut adalah data COVID-19 di seluruh provinsi pada tanggal 22 Juli 2020:









