Terus Meningkat Kasus Sembuh COVID-19 di Indonesia 23 Agustus 2020: Prosentasenya 70,01 %

0
719

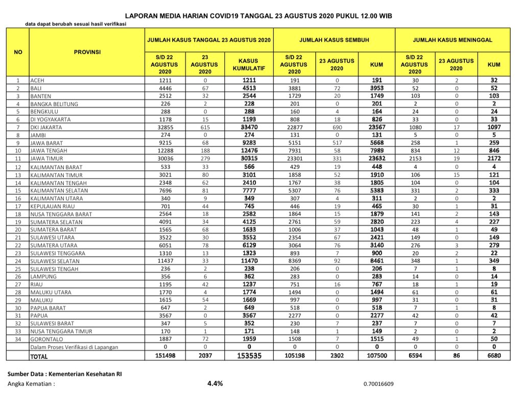
(Vibizmedia – Nasional)  Berikut adalah update angka akumulatif jumlah  kasus yang telah dinyatakan sembuh total dari Covid-19 dari seluruh Indonesia hingga tanggal 23 Agustus 2020.

Sedangkan jumlah pasien yang dinyatakan sudah sembuh dan diijinkan pulang terus bertambah dan semakin banyak , dari total 105.198   orang yang diberitakan kemarin, bertambah 2.302 orang menjadi 107.500 orang. Maka bagi yang telah dinyatakan sembuh ada kenaikan, jika kemarin bertambah  2.207 orang, hari ini bertambah 2.302 orang.

Angka total 107.500 menunjukkan bahwa jumlah kasus sembuh semakin meningkat, yaitu  sejumlah 70,01 %  jika dibandingkan kasus positif akumulatif yang sejumlah 153.535. Suatu jumlah angka prosentase yang menggembirakan.

Beberapa provinsi yang  melaporkan cukup banyak kasus yang sembuh yaitu DKI Jakarta (690), Jawa Barat (517), Jawa Timur (331), Sulawesi Selatan (92), Kalimantan Selatan (76),   Sumatera Utara (76), Bali (72), Sulawesi Utara (67), Sumatera Selatan (59), Jawa Tengah (58), Kalimantan Timur (52).

Berikut adalah data COVID-19 di seluruh provinsi pada tanggal 23 Agustus 2020:

LEAVE A REPLY

Please enter your comment!
Please enter your name here