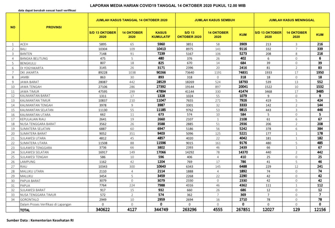
(Vibizmedia – Nasional) Berikut adalah update angka akumulatif jumlah kasus yang telah dinyatakan sembuh total dari Covid-19 dari seluruh Indonesia hingga tanggal 14 Oktober 2020.
Sedangkan jumlah pasien yang dinyatakan sudah sembuh dan diijinkan pulang terus bertambah dan semakin banyak , dari total 263.005 orang yang diberitakan kemarin, bertambah 4.555 orang menjadi 267.851 orang. Maka bagi yang telah dinyatakan sembuh, jika kemarin bertambah 4.777 orang, hari ini bertambah 4.555 orang.
Angka total 267.851 menunjukkan bahwa persentase jumlah kasus sembuh semakin meningkat, yaitu sejumlah 77,69 % jika dibandingkan kasus positif akumulatif sejumlah 344.749 .
Beberapa provinsi yang melaporkan cukup banyak kasus yang sembuh yaitu: DKI Jakarta (1191), Jawa Tengah (897), Jawa Barat (524), Jawa Timur (330), Kalimantan Timur (271), Sumatera Utara (161), Riau (145), Bali (141), Sumatera Barat (125), Banten (106), Sulawesi Selatan (78), Aceh (58), Sumatera Selatan (56), Kalimantan Barat (55), Kalimantan Selatan (53), Nusa Tenggara Barat (51), Sulawesi Tenggara (46), Papua (46).
Breaking News Covid-19 di Indonesia 14 Oktober 2020: Bertambah 4.127 Total Positif Kini 344.749
Berikut adalah data COVID-19 di seluruh provinsi pada tanggal 14 Oktober 2020:










