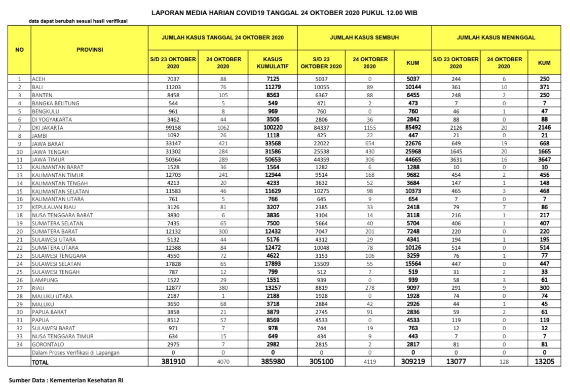
(Vibizmedia – Nasional) Berikut adalah update angka akumulatif jumlah kasus yang telah dinyatakan sembuh total dari Covid-19 dari seluruh Indonesia hingga tanggal 24 Oktober 2020.
Sedangkan jumlah pasien yang dinyatakan sudah sembuh dan diijinkan pulang terus bertambah dan semakin banyak, dari total 305.100 orang yang diberitakan kemarin, bertambah 4.119 orang menjadi 309.219 orang. Maka bagi yang telah dinyatakan sembuh, jika kemarin bertambah 4.094 orang, hari ini bertambah 4.119 orang.
Angka total 309.219 menunjukkan bahwa persentase jumlah kasus sembuh semakin meningkat, yaitu sejumlah 80,11% jika dibandingkan kasus positif akumulatif sejumlah 385.980.
Beberapa provinsi yang melaporkan cukup banyak kasus yang sembuh yaitu: DKI Jakarta (1155), Jawa Barat (654), Jawa Tengah (430), Jawa Timur (306), Riau (278), Sumatera Barat (201), Kalimantan Timur (168), Sulawesi Tenggara (106), Kalimantan Selatan (98), Papua Barat (91), Bali (89), Banten (88), Sumatera Utara (78), Sulawesi Selatan (55), Maluku (42).
Breaking News Covid-19 di Indonesia 24 Oktober 2020: Bertambah 4.070 Total Positif Kini 385.980
Berikut adalah data COVID-19 di seluruh provinsi pada tanggal 24 Oktober 2020:










