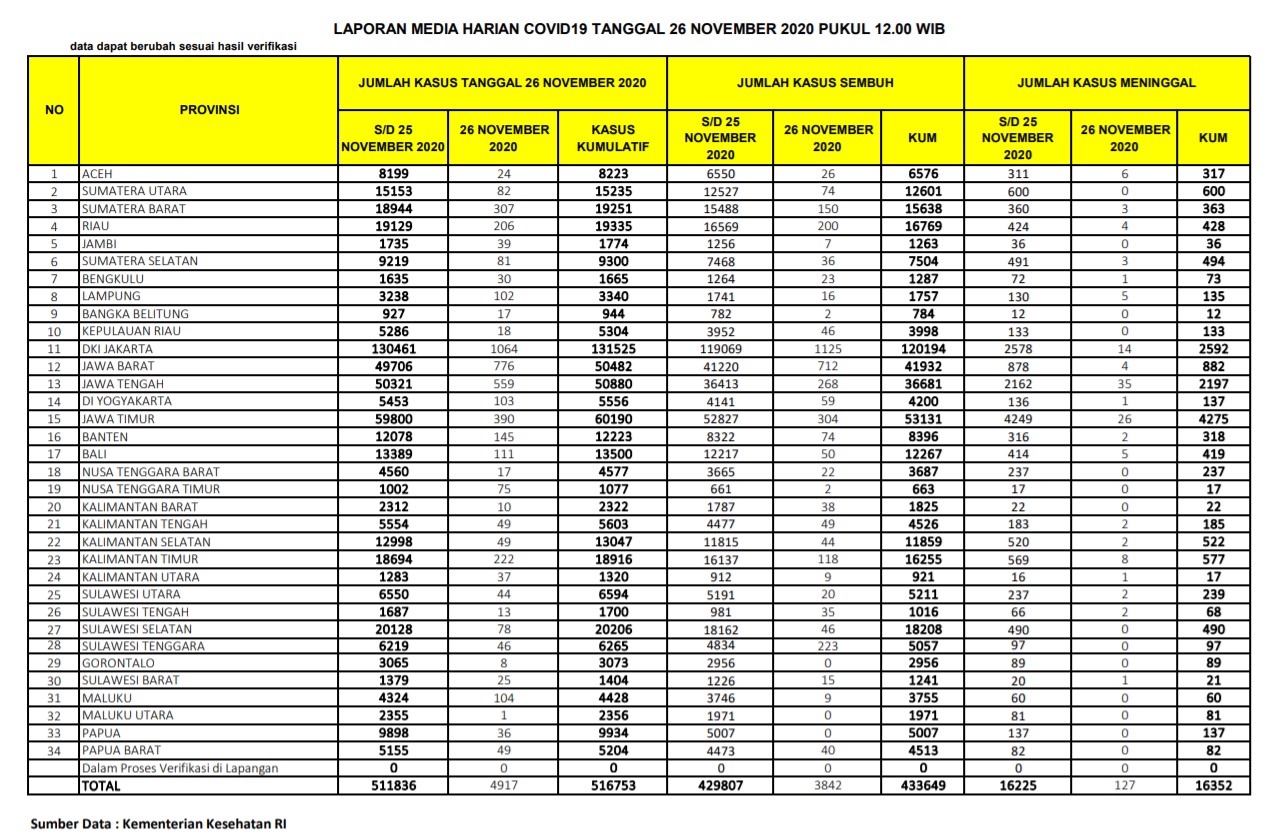
(Vibizmedia – Nasional) Berikut adalah update angka akumulatif jumlah kasus yang telah dinyatakan sembuh total dari Covid-19 dari seluruh Indonesia hingga tanggal 26 November 2020.
Sedangkan jumlah pasien yang dinyatakan sudah sembuh dan diijinkan pulang terus bertambah dan semakin banyak, dari total 429.807 orang yang diberitakan kemarin, bertambah 3.842 orang menjadi 433.649 orang. Maka bagi yang telah dinyatakan sembuh, jika kemarin bertambah 4.494 orang, hari ini bertambah 3.842 orang.
Angka total 433.649 menunjukkan bahwa persentase jumlah kasus sembuh cukup tinggi dan makin meningkat, yaitu sejumlah 83,91% jika dibandingkan kasus positif akumulatif sejumlah 516.753.
Beberapa provinsi yang melaporkan cukup banyak kasus yang sembuh yaitu: DKI Jakarta (1125), Jawa Barat (712), Jawa Timur (304), Jawa Tengah (268), Sulawesi Tenggara (223), Riau (200), Sumatera Barat (150), Kalimantan Timur (118), Sumatera Utara (74), Banten (74), DI Yogyakarta (59), Bali (50), Kalimantan Tengah (49), Kepulauan Riau (46), Sulawesi Selatan (46), Kalimantan Selatan (44), Papua Barat (40).
Breaking News Covid-19 di Indonesia 26 November 2020: Bertambah 4.917 Total Positif 511.836
Berikut adalah data COVID-19 di seluruh provinsi pada tanggal 26 November 2020:










