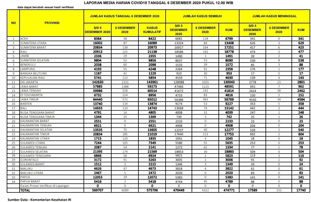
(Vibizmedia – Nasional) Berikut adalah update angka akumulatif jumlah kasus yang telah dinyatakan sembuh total dari Covid-19 dari seluruh Indonesia hingga tanggal 6 Desember 2020.
Jumlah pasien yang dinyatakan sudah sembuh dan diijinkan pulang terus bertambah dan semakin banyak, dari total 470.449 orang yang diberitakan kemarin, bertambah 4.322 orang menjadi 474.771 orang. Maka bagi yang telah dinyatakan sembuh, jika kemarin bertambah 4.271 orang, hari ini bertambah 4.322 orang.
Angka total 474.771 menunjukkan bahwa persentase jumlah kasus sembuh cukup tinggi dan makin meningkat, yaitu sejumlah 82,45% jika dibandingkan kasus positif akumulatif sejumlah 575.796
Beberapa provinsi yang melaporkan cukup banyak kasus yang sembuh yaitu: Jawa Barat (1.125), DKI Jakarta (1.055), Jawa Timur (383), Sumatera Barat (334), Riau (192), Jawa Tengah (142), Aceh (118), Kalimantan Timur (113), Lampung (92), Sumatera Utara (84), DI Yogyakarta (83), Bali (74), Kepulauan Riau (71), Sulawesi Tengah (62), Sulawesi Utara (55), Banten (53), Sumatera Selatan (53), Kalimantan Selatan (40).
Breaking News Covid-19 di Indonesia 6 Desember 2020: Bertambah 6.089 Total Positif 575.796
Berikut adalah data COVID-19 di seluruh provinsi pada tanggal 6 Desember 2020:










