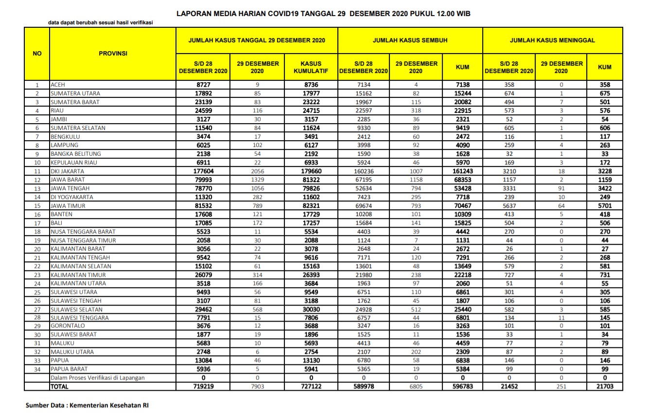
(Vibizmedia – Nasional) Berikut adalah update angka akumulatif jumlah kasus yang telah dinyatakan sembuh total dari Covid-19 dari seluruh Indonesia hingga tanggal 29 Desember 2020.
Jumlah pasien yang dinyatakan sudah sembuh dan diijinkan pulang terus bertambah dan semakin banyak, dari total 589.978 orang yang diberitakan kemarin, bertambah 6.805 orang menjadi 596.783 orang. Maka bagi yang telah dinyatakan sembuh, jika kemarin bertambah 6.302 orang, hari ini bertambah 6.805 orang.
Angka total 596.783 menunjukkan bahwa persentase jumlah kasus sembuh cukup tinggi dan makin meningkat, yaitu sejumlah 82,07% jika dibandingkan kasus positif akumulatif sejumlah 727.122 .
Beberapa provinsi yang melaporkan cukup banyak kasus yang sembuh yaitu: Jawa Barat (1.158), DKI Jakarta (1.007), Jawa Tengah (794), Jawa Timur (793), Sulawesi Selatan (512), Riau (318), DI Yogyakarta (295), Maluku Utara (202), Bali (141), Kalimantan Tengah (120), Sumatera Barat (115), Sulawesi Utara (110), Banten (101), Kalimantan Utara (97), Lampung (92), Sumatera Selatan (89), Sumatera Utara (82), Bengkulu (60), Papua (58), Kalimantan Selatan (48), Maluku (46), Kepulauan Riau (46), Sulawesi Tengah (45), Sulawesi Tenggara (44).
Breaking News Covid-19 di Indonesia 29 Desember 2020: Bertambah 7.903 Total Positif 727.122
Berikut adalah data COVID-19 di seluruh provinsi pada tanggal 29 Desember 2020:










