Terus Meningkat Kasus Sembuh COVID-19 di Indonesia 17 Agustus 2020: Prosentasenya 66,81 %

0
768

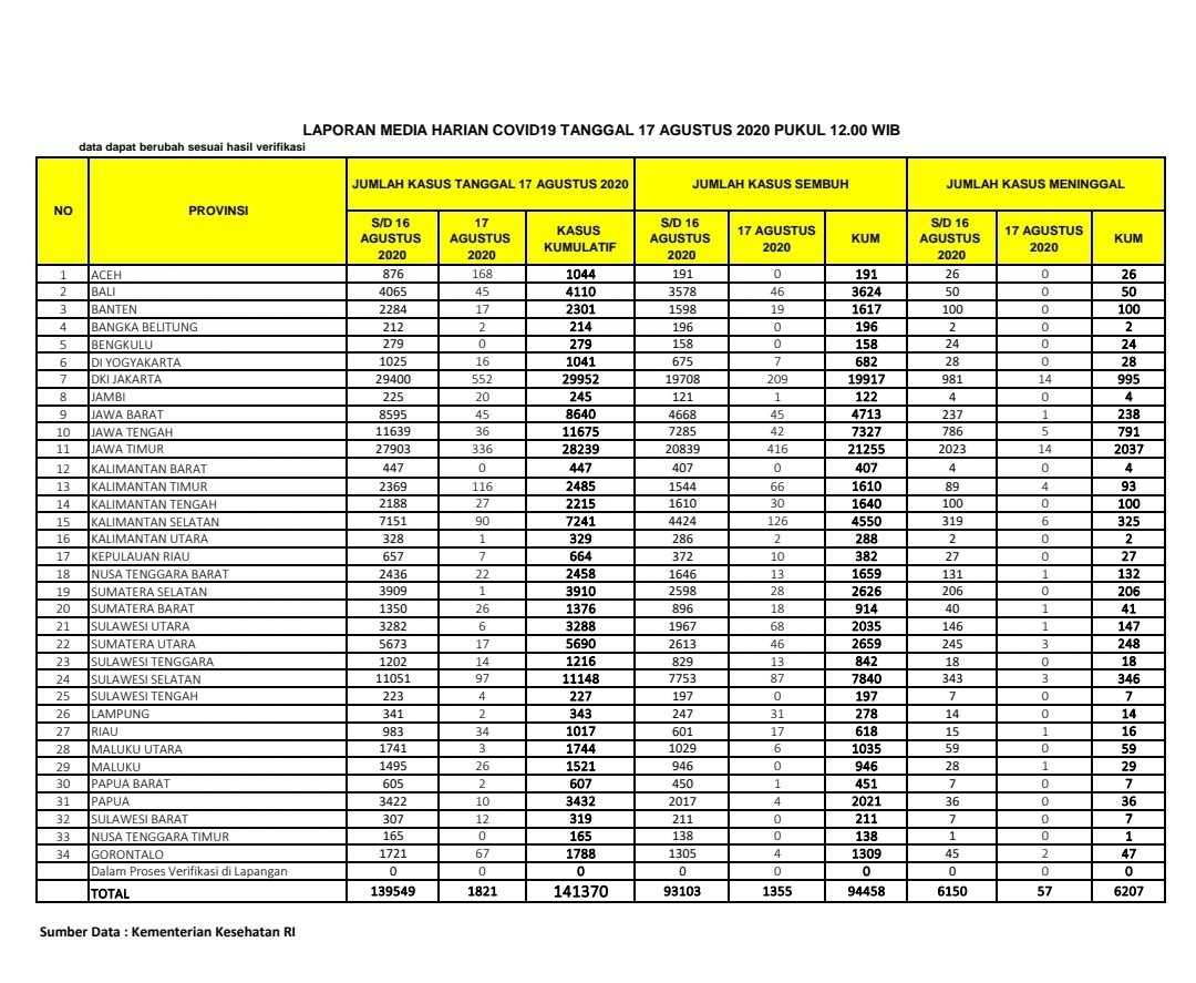
(Vibizmedia – Nasional)  Berikut adalah update angka akumulatif jumlah  kasus yang telah dinyatakan sembuh total dari Covid-19 dari seluruh Indonesia hingga tanggal 17 Agustus 2020.

Sedangkan jumlah pasien yang dinyatakan sudah sembuh dan diijinkan pulang terus bertambah dan semakin banyak , dari total 93.103  orang yang diberitakan kemarin, bertambah 1.355 orang menjadi 94.458 orang. Maka bagi yang telah dinyatakan sembuh ada kenaikan, jika kemarin bertambah 1.782 orang, hari ini bertambah  1.355 orang.

Angka total 94.458 menunjukkan bahwa jumlah kasus sembuh lebih dari setengah keseluruhan total kasus positif , yaitu  sejumlah 66,81 %  jika dibandingkan kasus positif akumulatif yang sejumlah 141.370 . Suatu jumlah angka yang menggembirakan, naik dibanding kemarin prosentasenya sejumlah 66,71 %.

Beberapa provinsi yang  melaporkan cukup banyak kasus yang sembuh yaitu Jawa Timur (416), DKI Jakarta (209), Kalimantan Selatan (126),  Sulawesi Selatan (87), Sulawesi Utara (68), Kalimantan Timur (66), Bali (46), Sumatera Utara (46), Jawa Barat (45) Jawa Tengah (42).

Berikut adalah data COVID-19 di seluruh provinsi pada tanggal 17 Agustus 2020:

LEAVE A REPLY

Please enter your comment!
Please enter your name here