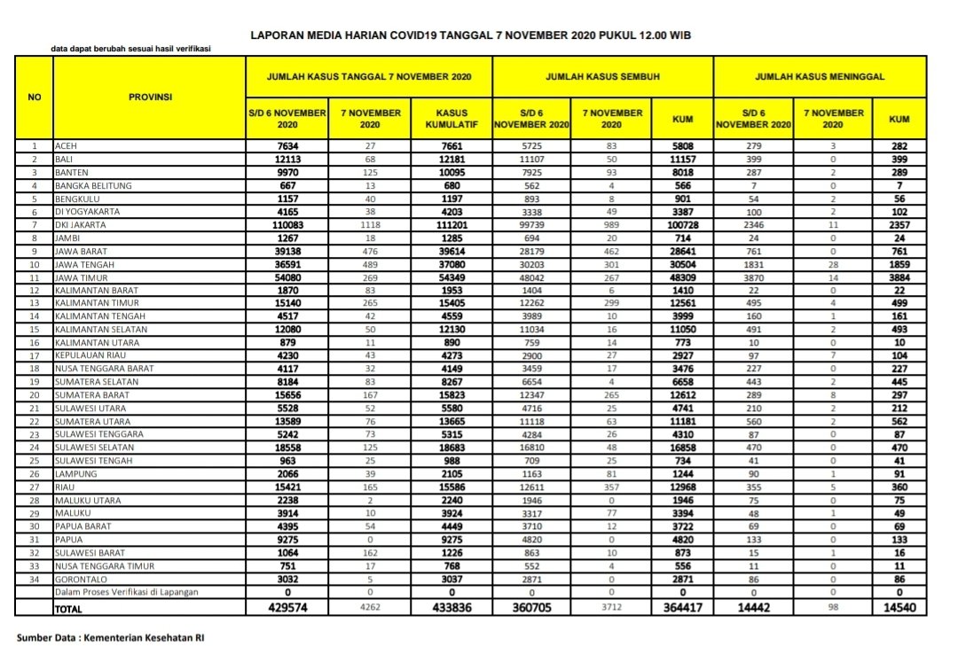
(Vibizmedia – Nasional) Berikut adalah update angka akumulatif jumlah kasus yang telah dinyatakan sembuh total dari Covid-19 dari seluruh Indonesia hingga tanggal 7 November 2020.
Sedangkan jumlah pasien yang dinyatakan sudah sembuh dan diijinkan pulang terus bertambah dan semakin banyak, dari total 360.705 orang yang diberitakan kemarin, bertambah 3.712 orang menjadi 364.417 orang. Maka bagi yang telah dinyatakan sembuh, jika kemarin bertambah 3.563 orang, hari ini bertambah 3.712 orang.
Angka total 364.417 menunjukkan bahwa persentase jumlah kasus sembuh cukup tinggi dan makin meningkat, yaitu sejumlah 83,99% jika dibandingkan kasus positif akumulatif sejumlah 433.836.
Beberapa provinsi yang melaporkan cukup banyak kasus yang sembuh yaitu: DKI Jakarta (989), Jawa Barat (462), Riau (357), Jawa Tengah (301), Kalimantan Timur (299), Jawa Timur (267), Sumatera Barat (265), Banten (93), Aceh (83), Lampung (81), Maluku (77), Sumatera Utara (63), Bali (50), DI Yogyakarta (49), Sulawesi Selatan (48).
Breaking News Covid-19 di Indonesia 7 November 2020: Bertambah 4.262 Total Positif 433.836
Berikut adalah data COVID-19 di seluruh provinsi pada tanggal 7 November 2020:










